EasyManua.ls Logo

SPM T30 - Follow-Up on Vibration Readings; Maintenance Activities

Default Icon
82 pages
Print Icon
To Next Page IconTo Next Page
To Next Page IconTo Next Page
To Previous Page IconTo Previous Page
To Previous Page IconTo Previous Page
Loading...
Technical data are subject to change without notice.
© Copyright SPM 2002-04. 71650.B
SPM Instrument AB Box 504 S-645 25 Strängnäs Sweden
Tel +46 152 225 00 Fax +46 152 15075 info@spminstrument.se www.spminstrument.se
Follow-up on vibration readings
Systematic vibration measurement includes recording and trending, to be able to follow the
gradual change of machine vibration over longer periods of time.
The purpose is to obtain data for condition based maintenance. Condition based maintenance, as
opposed to periodic overhauls, is only carried out when machine condition measurements show
that repairs are needed. This requires measurements at regular intervals, and the recording and
evaluation of the results.
There are no general rules about how often vibration should be measured. The intervals between
readings a day, a week, perhaps a whole month depends wholly on the individual machine, its
importance for the plant, and on the rate of change in its vibration level. Obviously an exhaust fan
with a soot problem will need more frequent surveillance than a fresh air fan, but only practical
experience can help to determine the optimal number of checks per month.
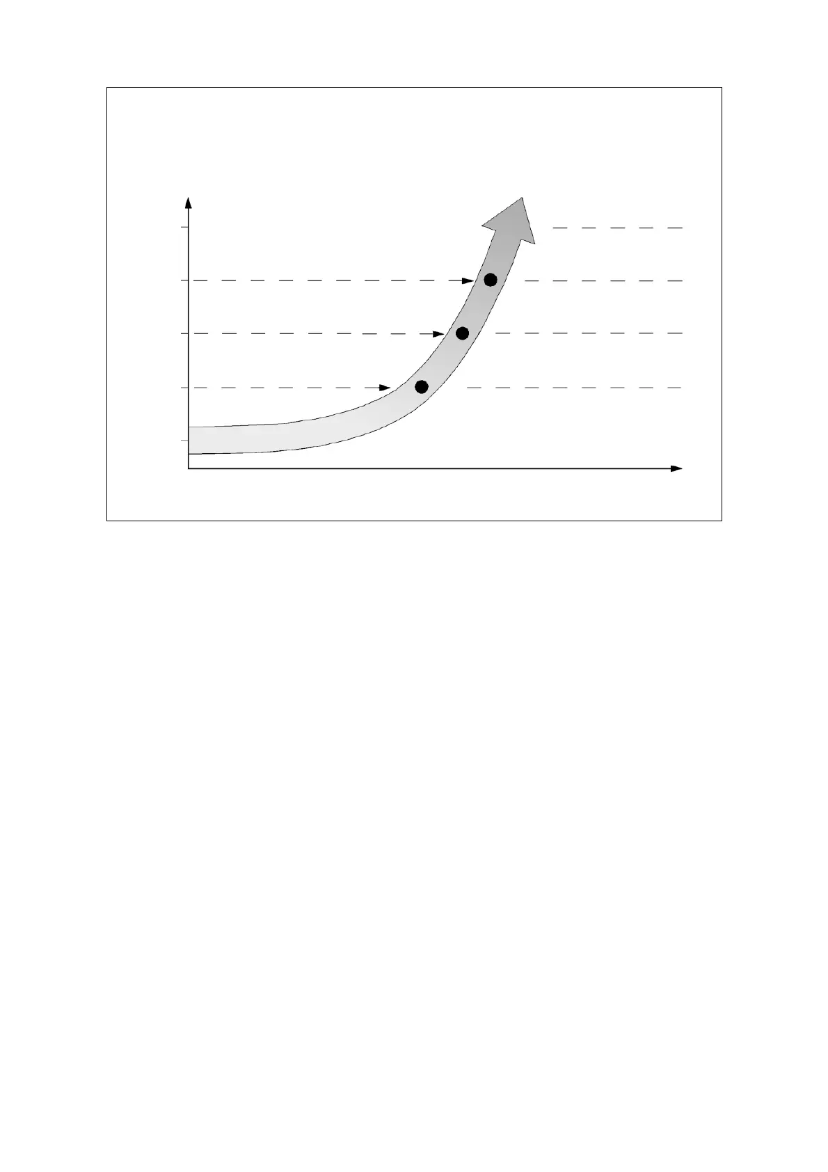
To be able to plan ahead and work efficiently, a main-tenance department needs easily interpreted
information on all significant changes in machine condition. Reporting changes in steps, rather
than giving the actual vibration severity figures, is the simplest way of indicating the extent and
urgency of a maintenance problem.
A one step change (1.6 times increase) is generally regarded as significant and should be reported.
It is a first warning of deteriorating condition. At this stage, tightening a few bolts or adjusting a
belt may be sufficient to get rid of the excess vibration. A two step increase (= one condition zone)
should always be investigated. Three steps up is a fourfold increase, an alarming change demand-
ing immediate action.
Report change
Report large increase
Report dangerous increase
Routine
maintenance
(lubrication, etc.)
Inspection,
minor repairs
Plan major
overhaul
(Shutdown)
Effect repairs
Breakdown
Vibration
measurements
Normal
+ 1 step
+ 2 steps
+ 3 steps
+ 4 steps
Maintenance
activities
48 Measuring vibration

Table of Contents

Related product manuals