EasyManua.ls Logo

ABB ACS380 Series - Scalar motor control; User load curve

ABB ACS380 Series
462 pages
To Next Page IconTo Next Page
To Next Page IconTo Next Page
To Previous Page IconTo Previous Page
To Previous Page IconTo Previous Page
Loading...
Program features 69
Scalar motor control
Scalar motor control is the default motor control method. It is suitable for applications
which do not require the control accuracy available in vector control. In scalar control,
you control the drive output frequency reference, and you do not need to do any
motor identification run at the first start.
It is recommended to activate scalar motor control mode in the following special
situations:
In multimotor drives: 1) if the load is not equally shared between the motors, 2) if
the motors are of different sizes, or 3) if the motors are going to be changed after
motor identification (ID run)
If the nominal current of the motor is less than 1/6 of the nominal output current of
the drive
If the drive is used without a motor connected (for example, for test purposes)
If the drive runs a medium-voltage motor through a step-up transformer.
In scalar control, some features are not available.
See also section Operating modes and motor control modes on page 52.
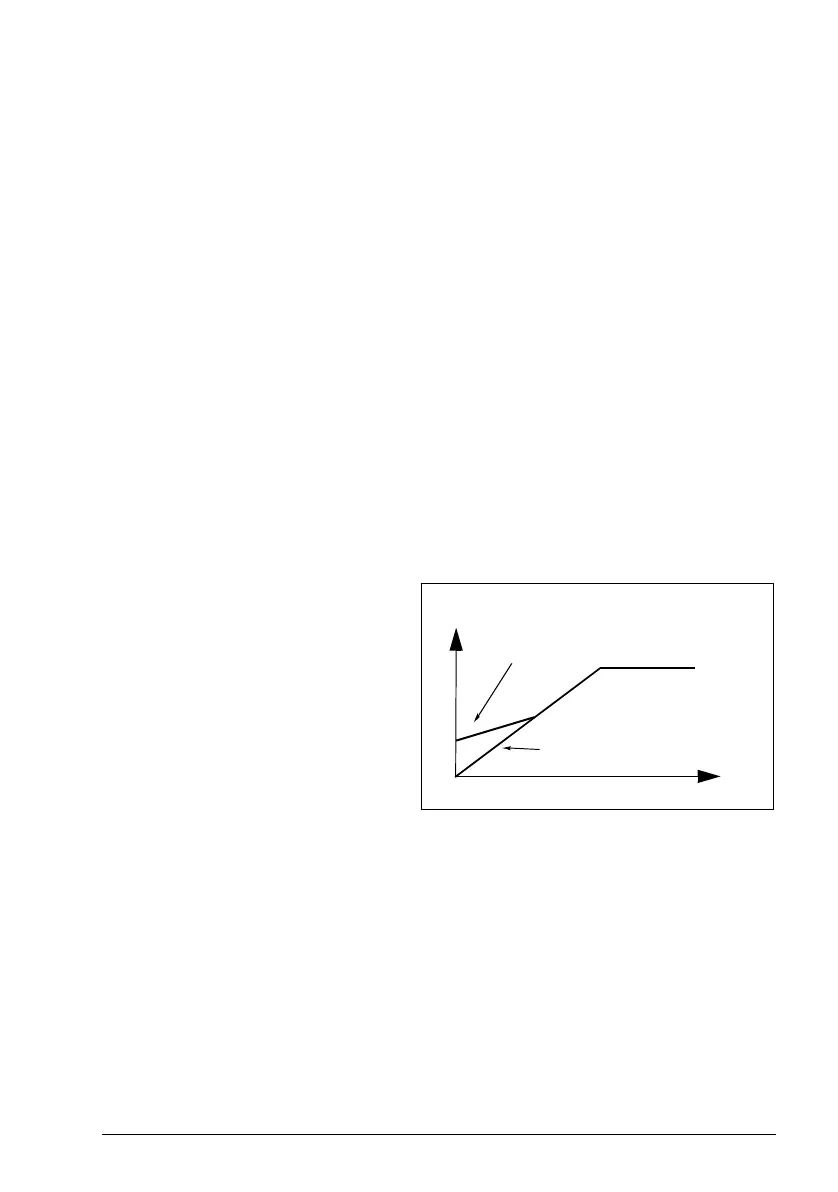
IR compensation for scalar motor control
IR compensation (also known as
voltage boost) is available only when
the motor control mode is scalar. When
IR compensation is activated, the drive
gives an extra voltage boost to the
motor at low speeds. IR compensation
is useful in applications that require a
high break-away torque.
In vector control, no IR compensation is
possible or needed as it is applied
automatically.
Parameters
Parameters: group 28 Frequency reference chain, 97.13 IR compensation and 99.04
Motor control mode.
User load curve
The User load curve provides a supervisory function that monitors an input signal as
a function of frequency or speed, and load. It shows the status of the monitored signal
and can give a warning or fault based on the violation of a user defined profile.
Motor voltage
f (Hz)
IR compensation
No compensation

Table of Contents

Other manuals for ABB ACS380 Series

Related product manuals