EasyManua.ls Logo

Festo MPA-S - Page 138

Festo MPA-S
174 pages
Print Icon
To Next Page IconTo Next Page
To Next Page IconTo Next Page
To Previous Page IconTo Previous Page
To Previous Page IconTo Previous Page
Loading...
A Technical appendix
138 Festo P.BE-MPA-EN 1309f English
1
2
3
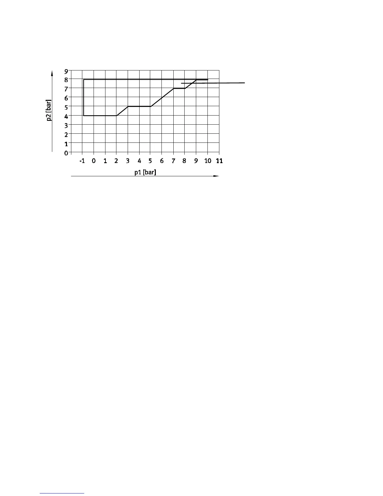
1 Pressure of the pilot air supply at port
(12/14) [bar]
2 Work range
3 Operating pressure at port (1) [bar]
Fig. A.5 Diagram: Required pilot pressure related to the operating pressure with use of valve sub-ba-
ses with ident. code MU, NU, KU and HU

Table of Contents

Related product manuals