EasyManua.ls Logo

Giga-tronics 8003 - Figure 2-46: -30 Db Point (High Pass Filter)

Giga-tronics 8003
258 pages
Print Icon
To Next Page IconTo Next Page
To Next Page IconTo Next Page
To Previous Page IconTo Previous Page
To Previous Page IconTo Previous Page
Loading...
8003 Precision Scalar Analyzer
2-90 Manual 20791, Rev. C, June 2001
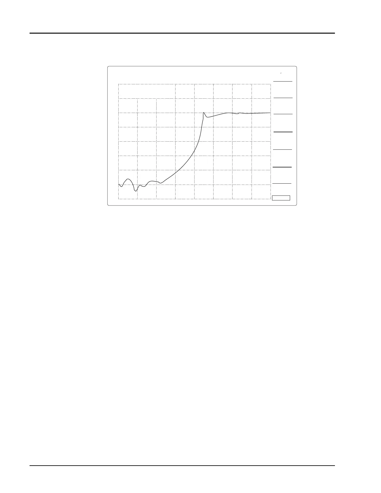
The SEARCH LEFT and SEARCH RIGHT functions scan in the appropriate direction from the
current position of the cursor to look for the level that is equal to the search value (relative to the
0 dB/dBm value). This is because many users prefer to specify devices from the 0 dB insertion level.
Sometimes, this scheme may lead to unexpected results. For example, if the device under test is a filter
with a minimum of 6 dB of insertion loss in the pass band, the search functions will never find the
-3 dB point. To correct this situation, first find the Maximum point in the pass band using the
[SEARCH] and [MAX] softkeys. Press
[CURSOR]
to return to the top level softkey menu and press
the [DCURSOR ON/OFF] softkey. The new reference level will now be the maximum point on the
trace and the search function will operate as expected.
Figure 2-46: -30 dB Point (High Pass Filter)
SEARCH
RIGHT
BAND-
WIDTH
SEARCH
LEFT
SEARCH
VALUE
CURSOR
RETURN
STRT
5.000 GHz
STOP
SRCH -30.00 dB
6.417 GHz
CH1: SW A -PC CRSR -30.00 dB
10.0 dB/ H REF -0.00 dB
8.000 GHz
MAX
1
CRSR 6.417 GHz
MIN
VALUE FOUND: TRACE HOLD
+

Table of Contents

Related product manuals