EasyManua.ls Logo

Giga-tronics 8003 - Bandwidth Searches; Figure 2-47: Automatic Bandwidth Movement (very Narrow Bandpass Filter)

Giga-tronics 8003
258 pages
Print Icon
To Next Page IconTo Next Page
To Next Page IconTo Next Page
To Previous Page IconTo Previous Page
To Previous Page IconTo Previous Page
Loading...
Operation
Manual 20791, Rev. C, June 2001 2-91
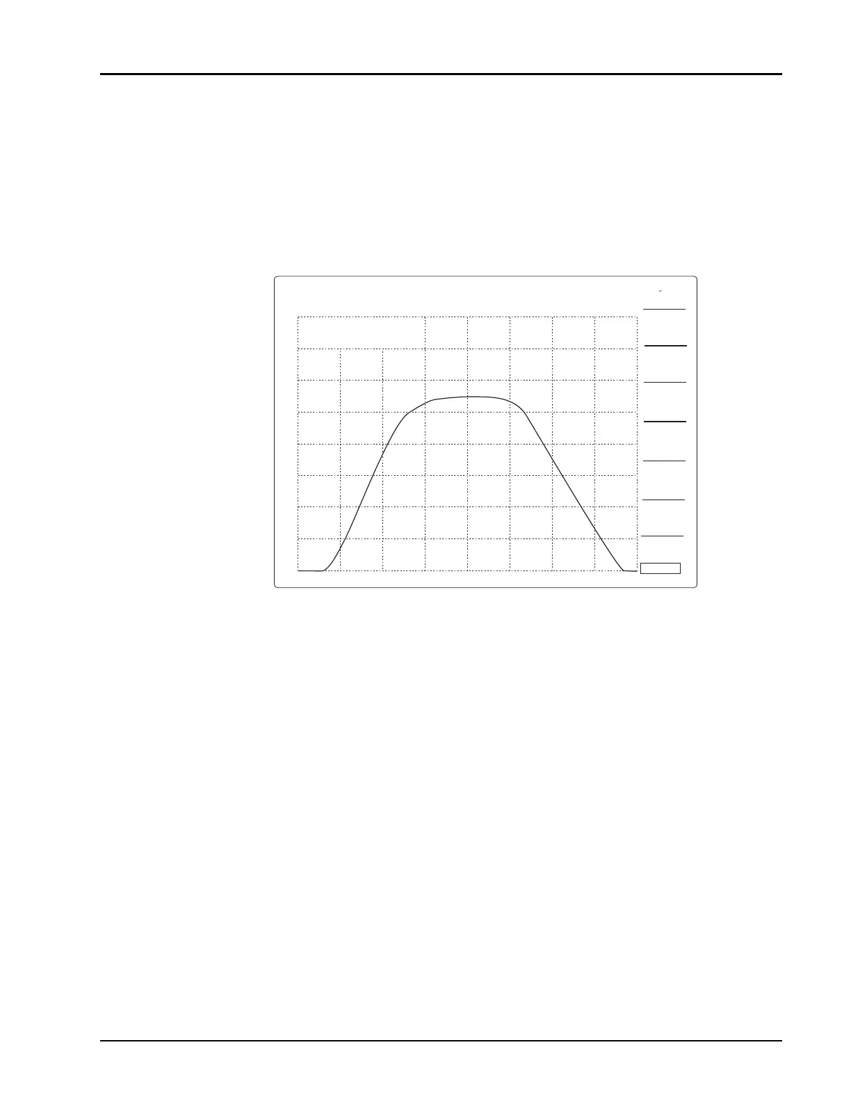
2.11.4 Bandwidth Searches
The 8003 Analyzer can also find the bandwidth of frequency selective devices. Press
[CURSOR]
followed by the [SEARCH] softkey. Then press the [BANDWIDTH] softkey. The analyzer will
automatically find the maximum point in the pass band of the device, then find the -3 dB points on the
right and left of the maximum, and calculate the bandwidth.
Once the [BANDWIDTH] softkey is pressed, the search level can be changed by simply entering a new
value on the numeric entry keypad and pressing
[GHz/dB]
.
Figure 2-47: Automatic Bandwidth Movement (Very Narrow Bandpass Filter)
SEARCH
RIGHT
BAND-
WIDTH
SEARCH
LEFT
SEARCH
VALUE
CURSOR
RETURN
STRT
1.711 GHz
STOP
SRCH -3.00 dB
7.193 GHz
CH1: SW A -PC CSR -0.00 dB
5.0 dB/ H REF -0.00 dB
20.000 GHz
MAX
1
CSR 7.193 GHz
MIN
VALUE FOUND: TRACE HOLD
+

Table of Contents

Related product manuals