EasyManua.ls Logo

Keysight Technologies 33210A - Page 346

Keysight Technologies 33210A
367 pages
To Next Page IconTo Next Page
To Next Page IconTo Next Page
To Previous Page IconTo Previous Page
To Previous Page IconTo Previous Page
Loading...
7Tutorial
346 Keysight 33210A User’s Guide
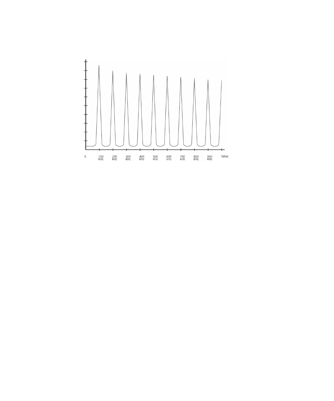
Spectrum of Above Waveform at 100 kHz

Table of Contents

Other manuals for Keysight Technologies 33210A

Related product manuals