EasyManua.ls Logo

Learjet 60 - Volume Conversions (Figure 8-4)

Default Icon
408 pages
Print Icon
To Next Page IconTo Next Page
To Next Page IconTo Next Page
To Previous Page IconTo Previous Page
To Previous Page IconTo Previous Page
Loading...
Pilot's
Manual
Learjet
60
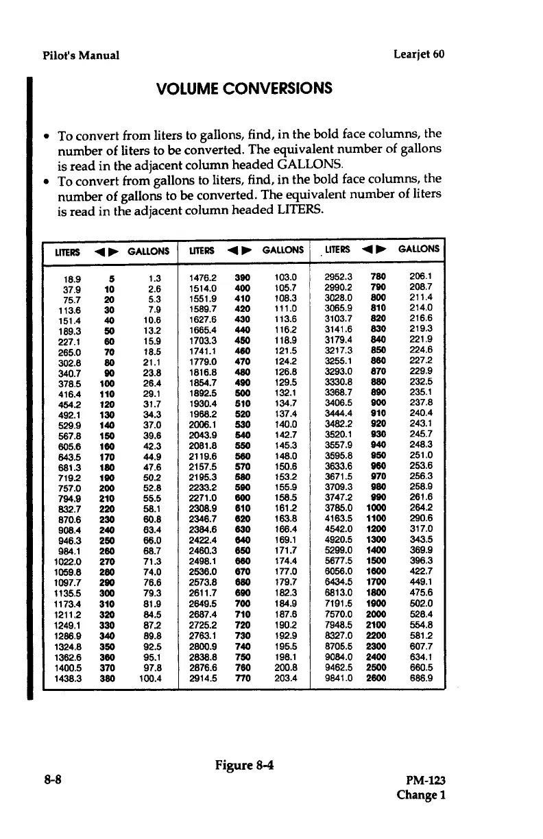
"
To
convert
from
liters
to gallons,
find,
in
the
bold
face
columns,
the
number
of
liters
to
be
converted
.
The
equivalent
number
of
gallons
is
read
in the
adjacent
column
headed
GALLONS
.
"
To
convert
from
gallons
to
liters,
find,
in the
bold
face
columns,
the
number
of
gallons
to
be
converted
.
The
equivalent
number
of
liters
is
read
in the
adjacent
column
headed
LITERS
.
8-8
VOLUME
CONVERSIONS
Figure
8-4
PM-123
Change
l
LITERS
-q
Io-
GALLONS
LITERS
-4100-
GALLONS
LITERS
,
-410-
GALLONS
18
.9
5
1
.3
1476
.2
390
103
.0
2952
.3
780 206
.1
37
.9
10
2
.6
1514
.0
400
105
.7
2990
.2
790 208
.7
75
.7
20
5
.3
1551
.9
410
108
.3
3028
.0
800
211
.4
113
.6
30
7
.9
1589
.7
420
111
.0
3065
.9
810 214
.0
151
.4
40 10
.6
1627
.6
430 113
.6
3103
.7
820 216
.6
189
.3
50
13
.2
1665
.4
440
116
.2
3141
.6
830 219
.3
227
.1
60
15
.9
1703
.3
450
118
.9
3179
.4
840
221
.9
265
.0
70
18
.5
1741
.1
460
121
.5
3217
.3
850 224
.6
302
.8
80
21
.1
1779
.0
470
124
.2
3255
.1
860 227
.2
340
.7
90 23
.8
1816
.8
480
126
.8
3293
.0
870 229
.9
378
.5
100
26
.4
1854
.7
490
129
.5
3330
.8
880 232
.5
416
.4
110
29
.1
1892
.5
500
132
.1
3368
.7
890 235
.1
454
.2
120
31
.7
1930
.4
510
134
.7
3406
.5
900 237
.8
492
.1
130
34
.3
1968
.2
520
137
.4
3444
.4
910
240
.4
529
.9
140
37
.0
2006
.1
530
140
.0
3482
.2
920 243
.1
567
.8
150
39
.6
2043
.9
540
142
.7
3520
.1
930 245
.7
605
.6
180
42
.3
2081
.8
550
145
.3
3557
.9
940
248
.3
643
.5
170
44
.9
2119
.6
560
148
.0
3595
.8
950
251
.0
681
.3
180
47
.6
2157
.5
570
150
.6
3633
.6
960 253
.6
719
.2
190
50
.2
2195
.3
580
153
.2
3671
.5
970
256
.3
757
.0
200
52
.8
2233
.2
590
155
.9
3709
.3
980 258
.9
794
.9
210
55
.5
2271
.0
600
158
.5
3747
.2
990
261
.6
832
.7
220
58
.1
2308
.9
810
161
.2
3785
.0
1000
264
.2
870
.6
230
60
.8
2346
.7
820
163
.8
4163
.5
1100
290
.6
908
.4
240
63
.4
2384
.6
630
166
.4
4542
.0
1200
317
.0
946
.3
250
66
.0
2422
.4
640
169
.1
4920
.5
1300
343
.5
984
.1
260
68
.7
2460
.3
850
171
.7
5299
.0
1400
369
.9
1022
.0
270
71
.3
2498
.1
680
174
.4
5677
.5
1500
396
.3
1059
.8
280
74
.0
2536
.0
670
177
.0
6056
.0
1600
422
.7
1097
.7
290
76
.6
2573
.8
680
179
.7
6434
.5
1700
449
.1
1135
.5
300
79
.3
2611
.7
690
182
.3
6813
.0
1800
475
.6
1173
.4
310
81
.9
2649
.5
700
184
.9
7191
.5
1900
502
.0
1211
.2
320
84
.5
2687
.4
710
187
.6
7570
.0
2000
528
.4
1249
.1
330
87
.2
2725
.2
720
190
.2
7948
.5
2100
554
.8
1286
.9
340
89
.8
2763
.1
730
192
.9
8327
.0
2200
581
.2
1324
.8
350
92
.5
2800
.9
740
195
.5
8705
.5
2300
607
.7
1362
.6
360
95
.1
2838
.8
750
198
.1
9084
.0
2400
634
.1
1400
.5
370
97
.8
2876
.6
760
200
.8
9462
.5
2500
660
.5
1438
.3
380 100
.4
2914
.5
770
203
.4
9841
.0
2600
686
.9

Table of Contents

Related product manuals