EasyManua.ls Logo

Learjet 60 - Page 350

Default Icon
408 pages
Print Icon
To Next Page IconTo Next Page
To Next Page IconTo Next Page
To Previous Page IconTo Previous Page
To Previous Page IconTo Previous Page
Loading...
Pilot's
Manual
Learjet
60
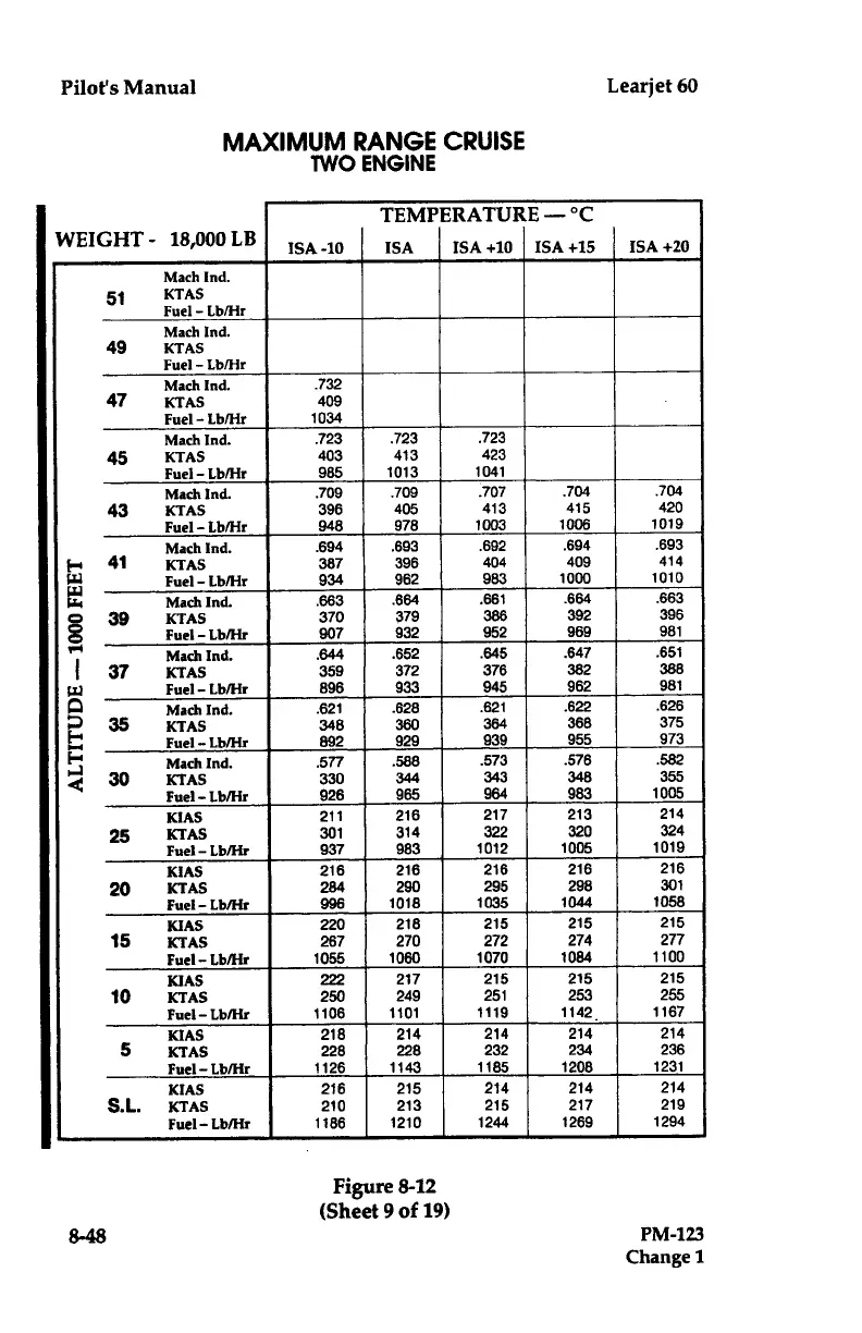
MAXIMUM
RANGE
CRUISE
TWO
ENGINE
Figure
8-12
(Sheet
9
of
19)
8-48
PM-123
Change
l
TEMPERATURE
-
°C
WEIGHT
-
18,000
LB
ISA
-10
ISA ISA
+10
ISA
+15
ISA
+20
Mach
Ind
.
51
KTAS
Fuel
-
Lb/lir
Mach
Ind
.
49
KTAS
Fuel
-
Lb/lir
Mach
Ind
.
.732
47
KTAS
409
Fuel
-Lb/Hr
1034
Mach
Ind
.
.723 .723
.723
45
KTAS
403
413 423
Fuel-Lb/Hr
985
1013
1041
Mach
Ind
.
.709
.709
.707
.704
.704
43
KTAS
396
405 413
415 420
Fuel-Lb/Hr
948
978
1003
1006
1019
Mach
Ind
.
.694
.693 .692 .694
.693
E .r
41
KTAS
387 396
404
409
414
W
Fuel
-
Lb/Hr
934
962 983
1000
1010
Mach
Ind
.
.663 .664
.661
.664
.663
39
KTAS
370 379
386
392 396
g
Fuel-
Lb/lir
907 932 952
969
981
Mach
Ind
.
.644 .652
.645
.647
.651
37
KTAS
359
372 376 382
388
W
Fuel
-Lb/Hr
896 933 945 962
981
A
Mach
Ind
.
.621
.628
.621
.622
.626
35
KTAS
348 360
364
368 375
,
.
.,
Fuel
-
Lb/Hr
892
929
939
955 973
Mach
Ind
.
.577 .588
.573
.576
.582
0 .1
Q'
30
KTAS
330
344
343
348
355
Fuel-
Lb/Hr
926 965
964
983
1005
KTAS
211
216
217
213 214
25
K17AS
301
314 322 320
324
Fuel-Lb/Hr
937
983
1012 1005
1019
KTAS
216
216 216
216 216
20
KTAS
284 290 295 298
301
Fuel-Lb/Hr
996 1018 1035 1044
1058
KIAS
220
218 215 215 215
15
KTAS
267 270 272 274 277
Fuel
-Lb/I-Ir
1055
1060 1070 1084
1100
KIAS
222
217 215
215
215
10
KTAS
250 249
251
253 255
Fuel-Lb/Hr
1106
1101
1119 1142
.
1167
KIAS
218
214
214
214
214
5
KTAS
228
228
232
234
236
Fuel-Lb/Hr
1126
1143
1185
1208
1
231
KTAS
216
215
214
214
214
S
.L
.
KTAS
210 213 215
217
219
Fuel
-Lb/lir
1186 1210
1244
1
269
1
294

Table of Contents

Related product manuals