EasyManua.ls Logo

Learjet 60 - Page 362

Default Icon
408 pages
Print Icon
To Next Page IconTo Next Page
To Next Page IconTo Next Page
To Previous Page IconTo Previous Page
To Previous Page IconTo Previous Page
Loading...
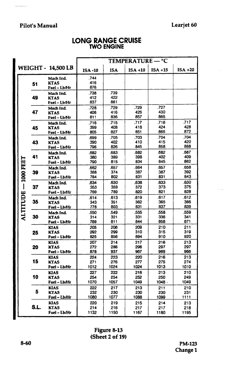
Pilot's
Manual
Learjet
60
LONG
RANGE
CRUISE
TWO
ENGINE
8-60
Figure
8-13
(Sheet
2
of 19)
PM-123
Change
l
TEMPERATURE
-
°C
WEIGHT
-
14,500
LB
ISA
-10
ISA
ISA
+10
ISA
+15
ISA+20
Mach
Ind
.
.744
51
KTAS
416
Fuel
-Lb/lir
876
Mach
Ind
.
.738
.739
49
KTAS
412 422
Fuel
-Lb/Hr
837
861
Mach
Ind
.
.728 .729 .729
.727
47
KTAS
406 416
426 430
Fuel
-
Lb/lir
811
836 857 865
Mach
Ind
.
.716
.715
.717
.718 .717
45
KTAS
399
408 418 424
428
Fuel-Lb/Hr
805
827
851
865
872
Mach
Ind
.
.699 .705
.703 .704 .704
43
KTAS
390 402 410 415
420
Fuel-
Lb/Hr
796 826
845
858
868
Mach
Ind
.
.682 .683
.682 .682 .687
[-~
41
KTAS
380
389 398 402
409
W
Fuel-
Lb/Hr
790
815
834
845
862
Fro
Mach
Ind
.
.662
.657 .664 .657 .658
39
KTAS
368
374
387
387
392
Fuel-Lb/Hr
784
802
831 831
843
Mach
Ind
.
.634 .630 .638 .633
.630
37
KTAS
353 359
372
373
375
W
Fuel-Lb/Hr
769
789
820 821 828
A
Mach
Ind
.
.614 .613 .619 .617 .612
35
KTAS
343 351
362
365
366
Fuel-Lb/Hr
778
803
831
837
839
Mach
Ind
.
.550 .549
.555 .558 .559
4'
30
KTAS
314 321 331
336
341
Fuel-Lb/Hr
789
811 844
858
871
WAS
205 206 209 210
211
25
KTAS
292 299
310
315
319
Fuel
-
Lb4ft
825
856
894
910 920
KIAS
207 214 217 216 213
20
KTAS
272 286 296 297
297
Fuel
-Lb/1FIr
878 937 967 969
966
KIAS
224 223 220 216 213
15
KTAS
271
276 277 275 274
Fuel-Lb/Hr
1012
1024
1024
1013 1010
KIAS
227 222 216 213 210
10
KTAS
254 254 252 250 249
Fuel-Lb44r
1070 1057 1049
1048-
1049
KIAS
222
217
213 211
210
5
KTAS
232
230
230
230
231
Fuel-Lb/Hr
1080 1077
1088
1099
1111
KIAS
220
219
215
214
213
S
.L
.
KTAS
214
216
217 217 218
Fuel
-Lb/Hr
1132
1150
1167
1180 1195

Table of Contents

Related product manuals