EasyManua.ls Logo

Learjet 60 - Page 368

Default Icon
408 pages
Print Icon
To Next Page IconTo Next Page
To Next Page IconTo Next Page
To Previous Page IconTo Previous Page
To Previous Page IconTo Previous Page
Loading...
Pilot's
Manual
Learjet
60
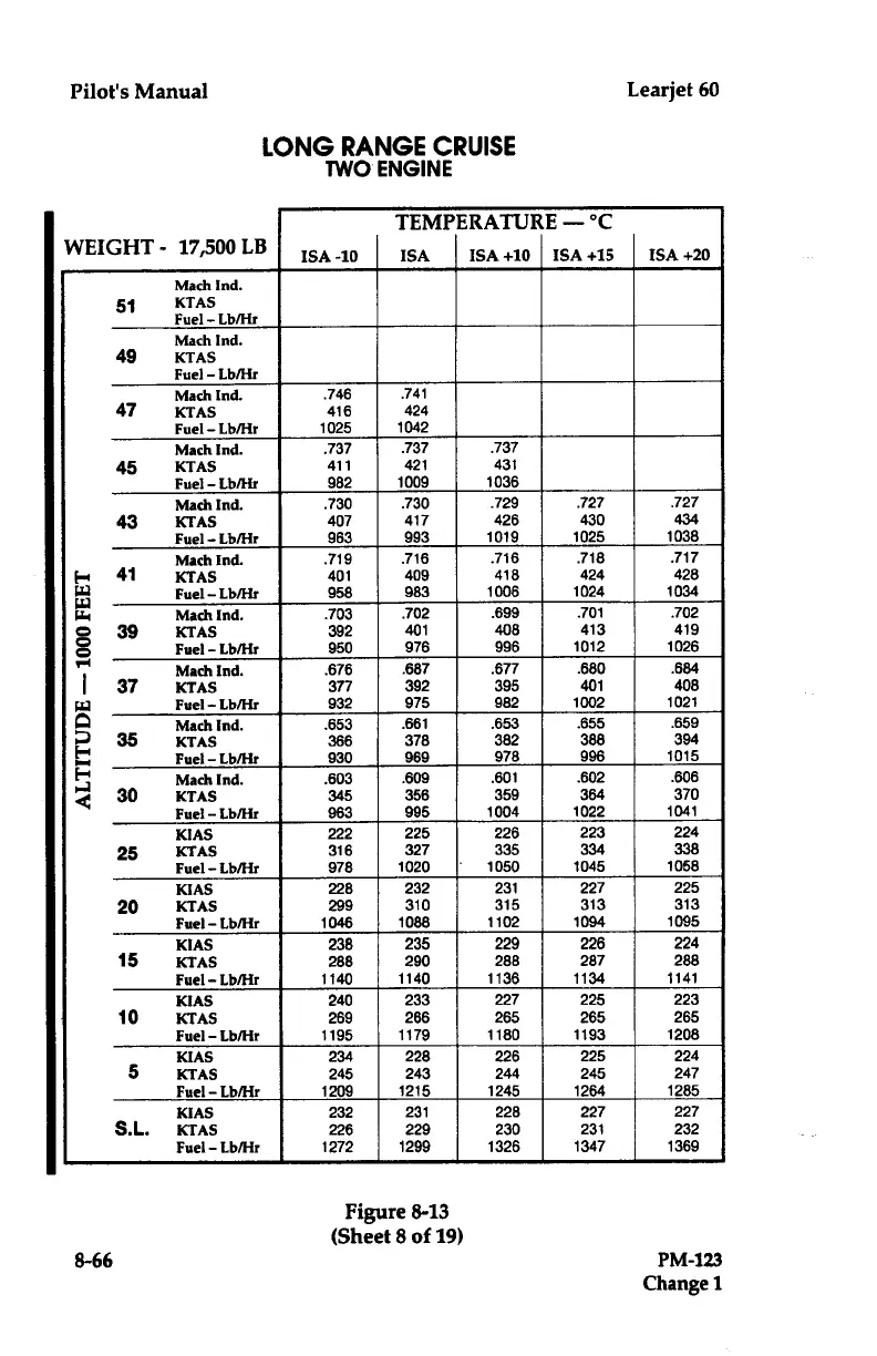
LONG
RANGE
CRUISE
TWO
ENGINE
Figure
8-13
(Sheet
8
of
19)
8-66
PM-123
Change
l
TEMPERATURE
-
°C
WEIGHT
-
17,500
LB
ISA
-10
ISA ISA
+10
ISA
+15
ISA
+20
Mach
Ind
.
51
KTAS
Fuel
-
Lb/Hr
Mach
Ind
.
49
KTAS
Fuel
-
Lb/lir
Mach
Ind
.
.746 .741
47
KTAS
416
424
Fuel
-Lb/lir
1025
1042
Mach
Ind
.
.737 .737
.737
45
KTAS
411 421 431
Fuel
-
Lb/lir
982 1009
1036
Mach
Ind
.
.730 .730
.729 .727
.727
43
KTAS
407 417
426
430 434
Fuel-
Lb/Hr
963
993
1019 1025
1038
Mach
Ind
.
.719
.716
.716
.718
.717
[
.~
41
KTAS
401
409 418 424 428
W
Fuel-Lb/Hr
958
983
1006
1024 1034
Mach
Ind
.
.703
.702
.699
.701
.702
Wo
39
KTAS
392 401
408
413
419
O
p
Fuel-
Lb/Hr 950
976 996
1012 1026
Mach
Ind
.
.676
.687
.677
.680
.684
37
KTAS
377
392 395
401
408
W
Fuel-
Lb/Hr 932
975
982
1002
1021
Mach
Ind
.
.653
.661
.653
.655
.659
35
KTAS
366
378 382
388
394
.,
Fuel-
Lb/Hr
930
969 978 996
1015
Mach
Ind
.
.603 .609
.601 .602 .606
d
30
KTAS
345
356 359 364 370
Fuel-
Lb/Hr 963
995
1004 1022
1041
KIAS
222
225 226 223 224
25
KTAS
316
327 335
334
338
Fuel-
Lb/Hr
978
1020 1050
1045 1058
KIAS
228 232
231
227 225
20
ICrAS
299 310 315
313
313
Fuel-Lb/Hr
1046
1088
1102 1094 1095
KIAS
238
235 229
226
224
15
KTAS
288 290 288 287 288
Fuel-
Lb/Hr
1140
1140 1136 1134
1141
KIAS
240
233
227 225 223
10
KTAS
269 266 265 265
265
Fuel-Lb/Hr
1195
1179
1180 1193 1208
KIAS
234
228
226
225
224
5
KTAS
245
243
244
245
247
Fuel-Lb/Hr
1209
1215
1245
1264
1285
KIAS
232
231
228
227
227
S
.L
.
KTAS
226
229
230
231
232
Fuel-Lb/Hr
1272
1299
1326
1347
1369

Table of Contents

Related product manuals