EasyManua.ls Logo

Learjet 60 - Page 370

Default Icon
408 pages
Print Icon
To Next Page IconTo Next Page
To Next Page IconTo Next Page
To Previous Page IconTo Previous Page
To Previous Page IconTo Previous Page
Loading...
Pilot's
Manual
Learjet
60
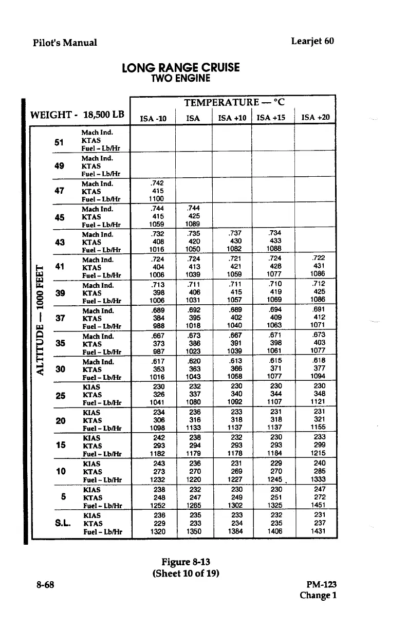
LONG
RANGE
CRUISE
TWO
ENGINE
8-68
Figure
8-13
(Sheet 10 of
19)
PM-123
Change
l
TEMPERATURE
-
°C
WEIGHT
-
18,500
LB
ISA
-10
ISA ISA
+10
ISA
+15
ISA
+20
Mach
Ind
.
51
KTAS
Fuel
-
Lb/lir
Mach
Ind
.
49
KTAS
Fuel
-
Lb/lir
Mach
Ind
.
.742
47
KTAS
415
Fuel
-
Lb/lir
1100
Mach
Ind
.
.744
.744
45
KTAS
415
425
Fuel
-
Lb/lir
1059
1089
Mach
Ind
.
.732 .735
.737 .734
43
KTAS
408
420 430
433
Fuel-Lb/Hr
1016 1050 1082
1088
Mach
Ind
.
.724 .724
.721
.724 .722
[
.
.i
41
KTAS
404 413
421
428
431
W
Fuel-
Lb
4
r 1006 1039
1059
1077 1086
W
Mach
Ind
.
.713
.711 .711
.710 .712
0
39
KTAS
398
406
415
419 425
p
Fuel-
Lb/Hr 1006
1031 1057
1069
1086
Mach
Ind
.
.689 .692 .689
.694
.691
37
KTAS
384
395
402
409 412
W
Fuel
-
Lb/Hr
988
1018
1040
1063
1071
Q
Mach
Ind
.
.667 .673 .667
.671
.673
35
KTAS
373
386
391
398 403
Fuel-
Lb/Hr
987 1023
1039 1061
1077
Mach
Ind
.
.617 .620
.613 .615
.618
30
KTAS
353
363
366
371
377
Fuel-
Lb/Hr
1016 1043
1058 1077 1094
KIAS
230 232
230 230 230
25
KTAS
326 337
340
344
348
Fuel-Lb/Hr
1041
1080
1092
1107 1121
KIAS
234
236
233
231
231
20
KTAS
306
316
318
318
321
Fuel
-
Lb/Hr
1098
1133 1137
1137
1155
KIAS
242 238 232
230 233
15
KTAS
293
294
293
293 299
Fuel-Lb/Hr
1182
1179
1178
1184
1215
KIAS
243
236 231 229
240
10
KTAS
273 270 269 270 285
Fuel
-
Lb/Hr
1232 1220 1227 1245
.
'
1333
KIAS
238 232 230
230 247
5
KTAS
248 247 249
251
272
Fuel-Lb/Hr
1252 1265 1302 1325
1451
KIAS
236
235
233
232
231
S
.L
.
KTAS
229 233
234
235 237
Fuel-
Lb/Hr 1320
1350
1384
1406
1431

Table of Contents

Related product manuals