EasyManua.ls Logo

Learjet 60 - Page 374

Default Icon
408 pages
Print Icon
To Next Page IconTo Next Page
To Next Page IconTo Next Page
To Previous Page IconTo Previous Page
To Previous Page IconTo Previous Page
Loading...
Pilot's
Manual
Learjet
60
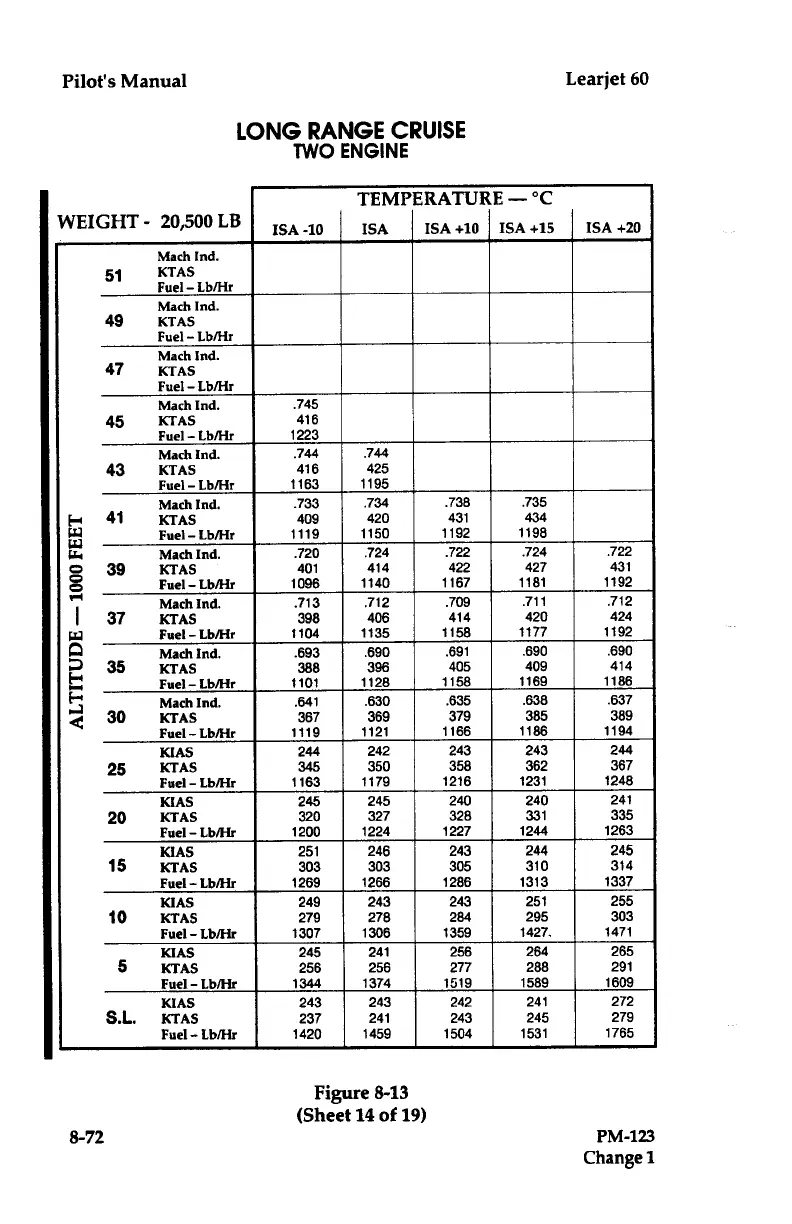
LONG
RANGE
CRUISE
TWO
ENGINE
8-72
Figure
8-13
(Sheet
14 of
19)
PM-123
Change
l
TEMPERATURE
-
°C
WEIGHT
-
20,500
LB
ISA
-10
ISA ISA
+10
ISA
+15 ISA
+20
Mach
Ind
.
51
KTAS
Fuel
-
Lb/Hr
Mach
Ind
.
49
KTAS
Fuel
-
Lb/Hr
Mach
Ind
.
47
KTAS
Fuel
-
Lb/Hr
Mach
Ind
.
.745
45
KTAS
416
Fuel-
Lb/Hr
1223
Mach
Ind
.
.744
.744
43
KTAS
416
425
Fuel-
Lb/Hr
1163
1195
Mach
Ind
.
.733
.734
.738 .735
1,
41
KTAS
409
420
431 434
W
Fuel-
Lb/Hr
1119 1150
1192 1198
W
Mach
Ind
.
.720 .724
.722 .724 .722
c
39
KTAS
401
414
422
427
431
p
Fuel-
Lb/Hr
1096 1140
1167 1181
1192
Mach
Ind
.
.713 .712
.709
.711
.712
37
KTAS
398
406
414
420
424
W
Fuel-
Lb/Hr
1104 1135
1158
1177 1192
Q
Mach
Ind
.
.693 .690
.691
.690 .690
35
KTAS
388 396
405
409
414
Fuel
-Lb/Hr
1101
1128
1158
1169 1186
Mach
Ind
.
.641
.630 .635 .638
.637
Q'
30
KTAS
367 369
379
385
389
Fuel-
Lb/Hr
1119
1121 1166
1186 1194
KIAS
244
242 243 243
244
25
KTAS
345
350
358 362 367
Fuel-
Lb/Hr
1163 1179 1216
1231
1248
KIAS
245
245
240 240
241
20
KTAS
320
327 328
331
335
Fuel-
Lb/Hr
1200 1224 1227 1244 1263
KIAS
251
246 243
244 245
15
KTAS
303
303
305
310
314
Fuel-
Lb
4
r
1269 1266
1286 1313 1337
KIAS
249
243 243
251
255
10
KTAS
279 278
284 295 303
Fuel
-
Lb/Flr 1307 1306 1359
1427
.
1471
KIAS
245
241
256
264
265
5
KTAS
256
256
277
288 291
Fuel-
Lb/Hr
1344 1374 1519
1589
1609
KIAS
243
243
242
241
272
S
.L
.
KTAS
237
241 243
245 279
Fuel-
Lb/Hr
1420 1459
1504
1531
1765

Table of Contents

Related product manuals