EasyManua.ls Logo

Learjet 60 - Page 380

Default Icon
408 pages
Print Icon
To Next Page IconTo Next Page
To Next Page IconTo Next Page
To Previous Page IconTo Previous Page
To Previous Page IconTo Previous Page
Loading...
Pilot's
Manual
Learjet
60
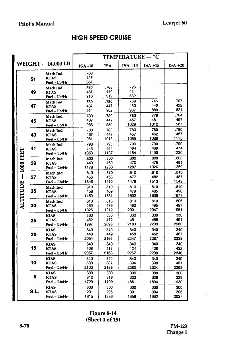
HIGH
SPEED
CRUISE
8-78
Figure
8-14
(Sheet
1 of 19)
PM-123
Change
l
TEMPERATURE
-
°C
WEIGHT
-
14,000
LB
ISA
-10
ISA ISA
+10
ISA
+15
ISA
+20
Mach
Ind
.
.763
51
KTAS
427
Fuel-Lb/Hr
887
Mach
Ind
.
.780 .768
.726
49
KTAS
437
440
424
Fuel-Lb/Hr
910
912
832
Mach
Ind
.
.780
.780 .768 .745
.707
47
KTAS
437
447
450
440 422
Fuel-Lb/IIr
914
962
937 880
821
Mach
Ind
.
.780
.780 .780
.778
.764
45
KTAS
437
447
457
461
457
Fuel-
Lb/Hr
933
980
1029 1012
967
Mach
Ind
.
.780
.780
.780 .780
.780
43
KTAS
437 447
457
462 467
Fuel-
Lb/Hr
961 1013 1065 1088
1115
Mach
Ind
.
.790 .790
.790 .790 .790
[~
41
KTAS
443 454 464 469
474
W
Fuel-
Lb/Hr
1053 1107 1164 1190
1220
W
Mach
Ind
.
.800 .800
.800 .800 .800
0
39
KTAS
449 460
470
475
481
p
Fuel-
Lb/Hr 1178 1233 1297 1326
1359
Mach
Ind
.
.810 .810
.810 .810
.810
37
KTAS
456 466
477
482 487
W
Fuel-
Lb/Hr 1346 1410
1479
1513
1549
0
Mach
Ind
.
.810
.810
.810 .810 .810
a
35
KTAS
458 469
479
485 490
Fuel
-
Lb/1Ir
1459
1531
1602 1638 1677
Mach
Ind
.
.810
.810
.810 .810 .805
30
KTAS
469
479
490
495 497
Fuel-
Lb/Hr
1825 1912
2001
2047
1951
KIAS
330 330
330
330 330
25
1CTAS
462
472
481
486
491
Fuel-
Lb/Hr
1997
2098
2183
2233
2280
KIAS
340 340
340
340 340
20
KTAS
440 449
458
462 467
Fuel-
Lb/Hr
2054
2156
2247
2287
2338
KIAS
340 340
340
340 340
15
KTAS
408
416
424 428 432
Fuel-Lb/Hr
2057
2163
2257
2298 2340
KIAS
340 340 340 340 340
10
KTAS
380
387
394 398
401
Fuel-
Lb/Hr
2100
2189
2280
2324
2368
KIAS
300 300
300
300 300
5
KTAS
312 318
323
326
329
Fuel-
Lb/Hr
1729
1799
1861
1894 1930
KIAS
300 300
300
300 300
S
.L
.
KTAS
291
296
301
304 306
Fuel-
Lb/Hr
1815
1886 1959 1992 2027

Table of Contents

Related product manuals