EasyManua.ls Logo

Learjet 60 - Page 386

Default Icon
408 pages
Print Icon
To Next Page IconTo Next Page
To Next Page IconTo Next Page
To Previous Page IconTo Previous Page
To Previous Page IconTo Previous Page
Loading...
Pilot's
Manual
Learjet
60
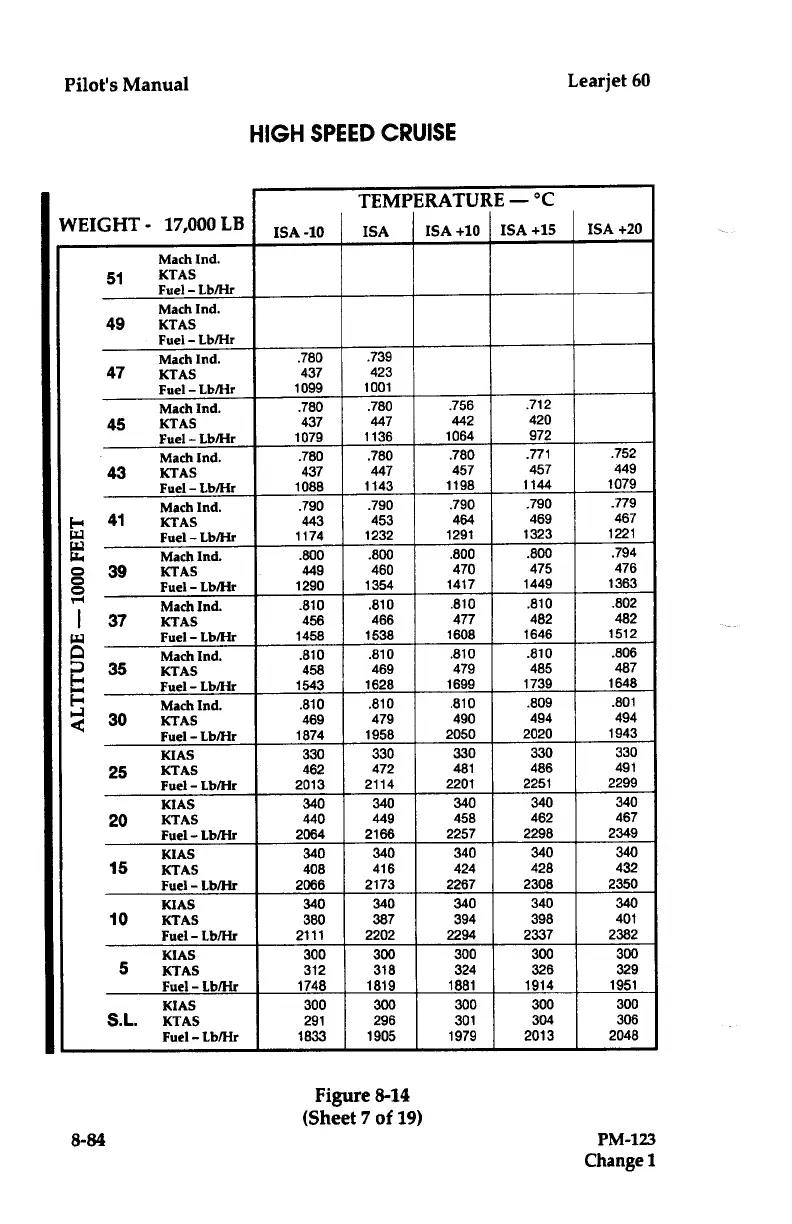
HIGH
SPEED
CRUISE
Figure
8-14
(Sheet
7
of
19)
8-84
PM-123
Change
l
TEMPERATURE
-
°C
WEIGHT
-
17,000
LB
ISA
-10
ISA
ISA
+10
ISA
+15
ISA
+20
Mach
Ind
.
51
KTAS
Fuel-Lb/Hr
Mach
Ind
.
49
KTAS
Fuel-
Lb/Hr
Mach
Ind
.
.780
.739
47
KTAS
437
423
Fuel-
Lb/lir
1099
1001
Mach
Ind
.
.780 .780
.756
.712
45
KTAS
437
447
442
420
Fuel-Lb/Hr
1079 1136 1064
972
Mach
Ind
.
.780
.780
.780
.771
.752
43
KTAS
437 447
457
457 449
Fuel-
Lb/lir
1088 1143
1198 1144
1079
Mach
Ind
.
.790
.790
.790
.790 .779
[
.
41
KTAS
443 453
464
469
467
W
Fuel-
Lb/lir
1174 1232
1291
1323
1221
Mach
Ind
.
.800 .800
.800 .800
.794
c
39
KTAS
449
460 470 475
476
p
Fuel-
Lb/lir
1290 1354
1417 1449 1363
Mach
Ind
.
.810 .810
.810 .810
.802
37
KTAS
456
466 477 482 482
fz1
Fuel-Lb/Hr
1458
1538 1608
1646 1512
A
Mach
Ind
.
.810 .810
.810
.810
.806
a
35
KTAS
458 469 479
485 487
Fuel
-
Lb/lir
1543
1628
1699
1739 1648
Mach
Ind
.
.810 .810 .810 .809
.801
d
30
KTAS
469 479 490
494 494
Fuel
-
Lb/lir
1874
1958
2050
2020 1943
KTAS
330
330
330 330
330
25
KTAS
462 472
481
486
491
Fuel-
Lb/lir
2013
2114 2201 2251
2299
KIAS
340
340
340
340 340
20
KTAS
440
449
458 462 467
Fuel-
Lb/lir
2064
2166 2257 2298 2349
KIAS
340 340 340
340 340
15
KTAS
408 416 424
428 432
Fuel-Lb/Hr
2066
2173
2267
2308
2350
KIAS
340 340 340 340 340
10
KTAS
380 387
394
398
401
Fuel-Lb/Hr
2111
2202
2294
2337
2382
KIAS
300 300
300
300 300
5
KTAS
312 318
324
326
329
Fuel-Lb/Hr
1748 1819
1881
1914
1951
KIAS
300 300
300 300
300
S
.L
.
KTAS
291
296
301
304
306
Fuel-
Lb4r
1833
1905
1979
2013 2048

Table of Contents

Related product manuals