EasyManua.ls Logo

Learjet 60 - Page 388

Default Icon
408 pages
Print Icon
To Next Page IconTo Next Page
To Next Page IconTo Next Page
To Previous Page IconTo Previous Page
To Previous Page IconTo Previous Page
Loading...
Pilot's
Manual
Learjet
60
HIGH
SPEED
CRUISE
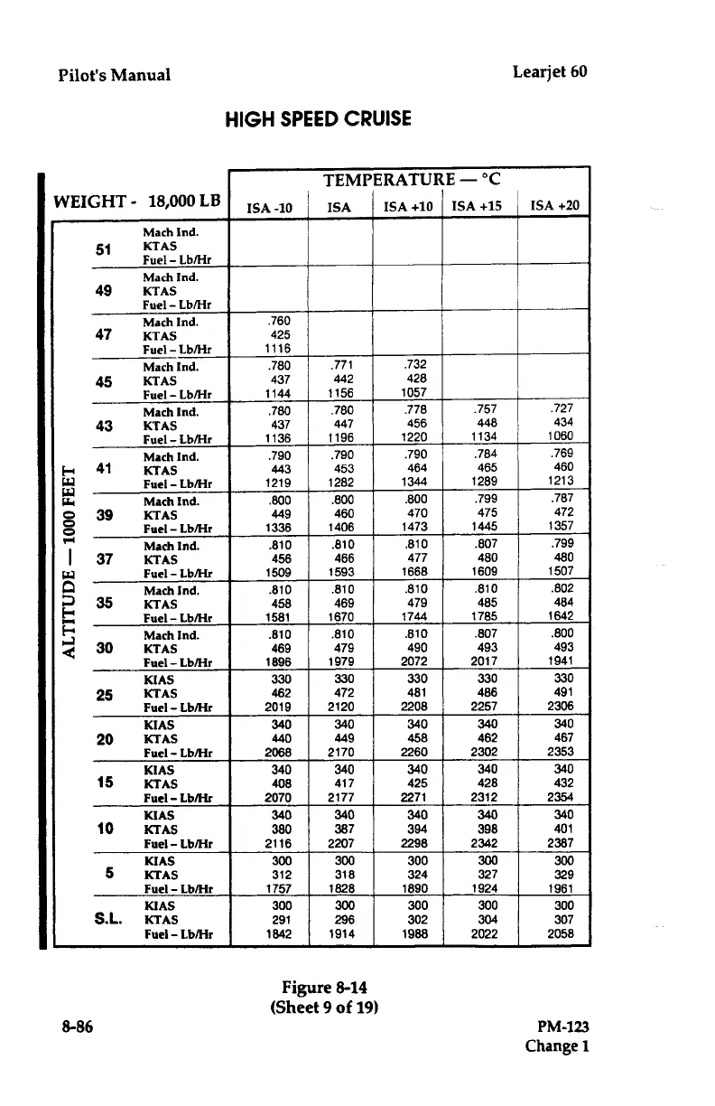
8-86
Figure
8-14
(Sheet
9 of 19)
PM-123
Change
1
TEMPERATURE
-
°C
WEIGHT
-
18,000
LB
ISA
-10
I
ISA
ISA
+10
ISA
+15
ISA
+20
Mach
Ind
.
51
KTAS
Fuel
-
Lb/lir
Mach
Ind
.
49
KTAS
Fuel-
Lb/lir
Mach
Ind
.
.760
47
KTAS
425
Fuel-Lb/Hr
1116
Mach
Ind
.
.780
.771
.732
45
KTAS
437
442
428
Fuel-Lb/Hr
1144
1156
1057
Mach
Ind
.
.780
.780 .778 .757
.727
43
KTAS
437 447
456 448 434
Fuel-
Lb/lir
1136
1196
1220
1134
1060
Mach
Ind
.
.790 .790
.790
.784
.769
[.
.~
41
KTAS
443 453
464 465
460
W
Fuel-
Lb/lir
1219
1282 1344 1289
1213
F
W
rr
Mach
Ind
.
.800
.800 .800
.799 .787
0
39
KTAS
449 460
470 475
472
0
p
Fuel-Lb/Hr
1336 1406 1473 1445
1357
Mach
Ind
.
.810
.810
.810 .807 .799
37
KTAS
456
466 477 480 480
lal
Fuel-
Lb/Hr
1509
1593
1668
1609 1507
A
Mach
Ind
.
.810
.810 .810 .810 .802
35
KTAS
458
469
479 485
484
Fuel
-Lb/lir
1581
1670
1744 1785 1642
Mach
Ind
.
.810
.810 .810
.807
.800
Q
30
KTAS
469 479
490
493 493
Fuel-Lb/Hr
1896
1979 2072
2017
1941
KIAS
330
330
330 330 330
25
KTAS
462
472 481
486
491
Fuel-
Lb/lir
2019
2120 2208
2257
2306
KIAS
340
340
340 340 340
20
KTAS
440 449 458 462
467
Fuel
-Lb/Hr
2068
2170
2260
2302 2353
KIAS
340
340
340 340 340
15
KTAS
408
417
425 428 432
Fuel
-Lb/Hr
2070
2177 2271
2312 2354
KIAS
340 340 340 340 340
10
KTAS
380 387 394 398
401
Fuel-
Lb4r
2116 2207
2298
2342
2387
KIAS
300 300 300 300 300
5
KTAS
312 318 324 327 329
Fuel-
Lb/Hr 1757 1828 1890 1924
1961
KIAS
300 300 300 300 300
S
.L
.
KTAS
291
296 302 304 307
Fuel
-Lb/lir
1842 1914 1988
2022
2058

Table of Contents

Related product manuals