EasyManua.ls Logo

Learjet 60 - Page 390

Default Icon
408 pages
Print Icon
To Next Page IconTo Next Page
To Next Page IconTo Next Page
To Previous Page IconTo Previous Page
To Previous Page IconTo Previous Page
Loading...
Pilot's
Manual
Learjet
60
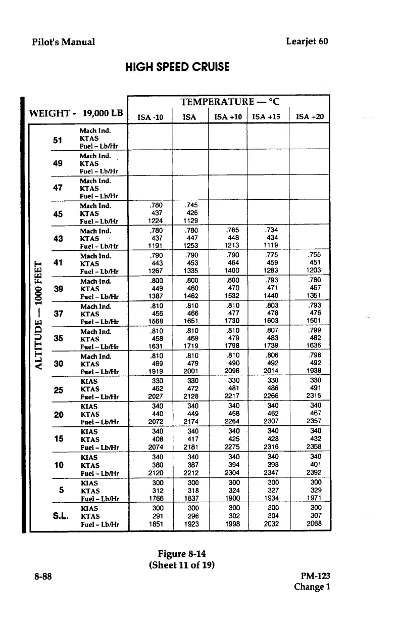
HIGH
SPEED
CRUISE
Figure
8-14
(Sheet 11 of
19)
8-88
PM-123
Change
l
TEMPERATURE
-
°C
WEIGHT
-
19,000
LB
ISA
-10
ISA
ISA
+10
ISA
+15
ISA
+20
Mach
Ind
.
51
KTAS
Fuel-Lb/Hr
Mach
Ind
.
49
KTAS
Fuel
-
LbMr
Mach
Ind
.
47
KTAS
Fuel
-
Lb/fir
Mach
Ind
.
.780 .745
45
KTAS
437
426
Fuel
-
Lb/lir
1224 1129
Mach
Ind
.
.780 .780
.765
.734
43
KTAS
437
447
448
434
Fuel
-Lb/lir
1191
1253 1213
1119
Mach
Ind
.
.790 .790
.790 .775 .755
[r
41
KTAS
443
453
464
459 451
Fuel-Lb/Hr
1267 1335
1400 1283
1203
Mach
Ind
.
.800
.800
.800
.793
.780
0
39
KTAS
449 460 470
471
467
0
Fuel-
Lb/fir
1387 1462 1532
1440
1351
Mach
Ind
.
.810 .810
.810 .793
37
KTAS
456 466 477 476
W
Fuel
-
Lb/fir
1568
1651
1730
E48
1501
Q
Mach
Ind
.
.810
.810
.810 .799
35
KTAS
458 469
479 482
, .
.,
Fuel_-
Lb/Hr
1631
1719 1798 1636
Mach
Ind
.
.810 .810
.810 .806
.798
30
KTAS
469
479
490
492 492
Fuel-Lb/Hr
1919 2001 2096
2014
1938
KIAS
330 330
330 330 330
25
KTAS
462 472
481
486
491
Fuel-Lb/Hr
2027 2128
2217
2266
2315
KIAS
340
340
340
340 340
20
KTAS
440 449
458
462 467
Fuel-Lb/Hr
2072 2174
2264
2307
2357
KIAS
340 340
340
340
340
15
KTAS
408 417
425
428 432
Fuel
-
Lb/Hr
2074
2181 2275
2316
2358
KIAS
340 340
340
340
340
10
KTAS
380 387
394
398
401
Fuel-Lb/Hr
2120 2212
2304
2347 2392
KIAS
300 300
300 300 300
5
KTAS
312
318 324
327 329
Fuel
-
Lb/fir
1766 1837 1900 1934
1971
KIAS
300
300
300
300
300
S
.L
.
KTAS
291
296
302 304
307
Fuel-
Lb/Hr
1851
1923 1998 2032
2068

Table of Contents

Related product manuals