EasyManua.ls Logo

Learjet 60 - Page 392

Default Icon
408 pages
Print Icon
To Next Page IconTo Next Page
To Next Page IconTo Next Page
To Previous Page IconTo Previous Page
To Previous Page IconTo Previous Page
Loading...
Pilot's
Manual
Learjet
60
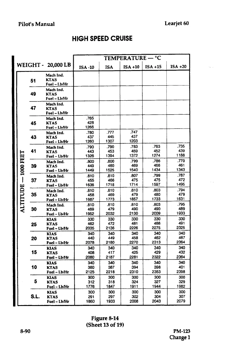
HIGH
SPEED
CRUISE
Figure
8-14
(Sheet
13 of
19)
8-90
PM-123
Change
l
TEMPERATURE
-
°C
WEIGHT
-
20,000
LB
ISA
_10
ISA ISA
+10
ISA
+15
ISA
+20
Mach
Ind
.
51
KTAS
Fuel
-
Lb/Hr
Mach
Ind
.
49
KTAS
Fuel
-
Lb/lir
Mach
Ind
.
47
KTAS
Fuel
-
Lb/Hr
Mach
Ind
.
.765
45
KTAS
428
Fuel
-
Lb/Hr
1266
Mach
Ind
.
.780
.777
.747
43
KTAS
437
445 437
Fuel-Lb/Hr
1260
1307 1203
Mach
Ind
.
.790
.790
.783 .763 .735
Fv
41
KTAS
443
453
459
452
439
W
Fuel
-
Lb/Hr
1326 1394 1372
1274 1188
W
Mach
Ind
.
.800 .800
.799 .786 .770
$
39
KTAS
449 460
469
466
461
p
Fuel-
Lb/lir
1449 1525
1540 1434 1343
Mach
Ind
.
.810 .810
.807 .799 .787
37
KTAS
455 466
475
475
472
W
Fuel-
Lb/Hr
1636 1718
1714
1597
1495
A
Mach
Ind
.
.810 .810
.810 .803 .794
a
35
KTAS
458 469
479
480
479
Fuel-
Lb/Hr 1687 1773
1857
1733
1631
Mach
Ind
.
.810 .810 .810 .803
.795
30
KTAS
469 479
490 490 489
Fuel-
Lb/lir
1952
2032
2130
2009 1933
KTAS
330
330
330 330
330
25
1CTAS
462 472
481
486
491
Fuel-
Lb/lir
2035
2136
2226
2275
2325
KIAS
340
340
340 340 340
20
KTAS
440
449 458
462
467
Fuel-
Lb/lir
2078
2180
2270 2313
2364
KTAS
340
340
340 340 340
15
KTAS
408
417
425 429 432
Fuel-
Lb/Hr
2080
2187 2281
2322 2364
KIAS
340
340
340 340 340
10
KTAS
380
387
394 398
401
Fuel
-
Lb/lir
2125
2218 2310 2353 2398
KIAS
300 300 300 300 300
5
KTAS
312 318 324 327 329
Fuel-
Lb/lir
1776 1847
1911
1944 1982
KIAS
300 300
300
300 300
S
.L
.
KTAS
291
297 302 304 307
Fuel
-
Lb/FIr
1860 1933 2008
2043
2079

Table of Contents

Related product manuals