EasyManua.ls Logo

Learjet 60 - Page 396

Default Icon
408 pages
Print Icon
To Next Page IconTo Next Page
To Next Page IconTo Next Page
To Previous Page IconTo Previous Page
To Previous Page IconTo Previous Page
Loading...
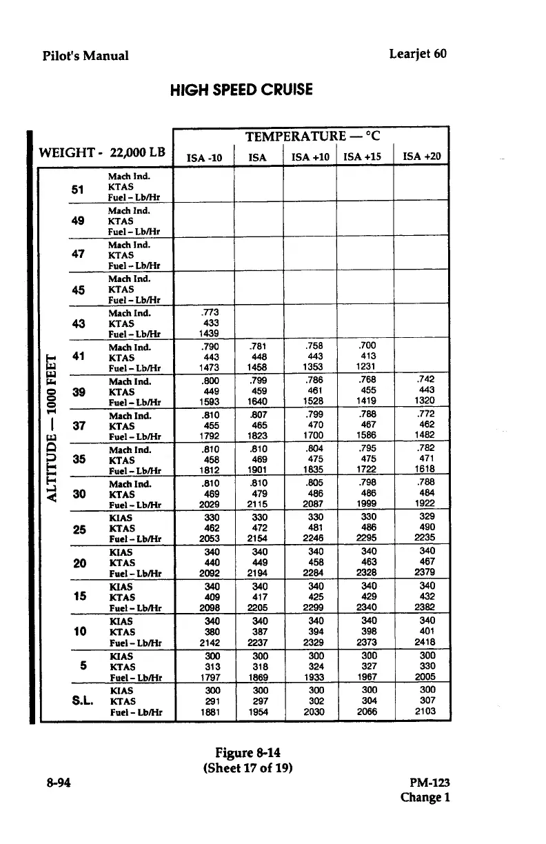
Pilot's
Manual
Learjet
60
HIGH
SPEED
CRUISE
8-94
Figure
8-14
(Sheet
17
of
19)
PM-123
Change
l
TEMPERATURE
-
°C
WEIGHT
-
22,000
LB
ISA
-10
ISA ISA
+10
ISA
+15
ISA
+20
Mach
Ind
.
51
KTAS
Fuel
-
Lb/lir
Mach
Ind
.
49
KTAS
Fuel
-
Lb/Hr
Mach
Ind
.
47
KTAS
Fuel
-
Lb/lir
Mach
Ind
.
45
KTAS
Fuel
-
Lb/lir
Mach
Ind
.
.773
43
KTAS
433
Fuel
-Lb/lir
1439
Mach
Ind
.
.790
.781
.758
.700
[
.
.~
41
KTAS
443 448 443
413
W
Fuel-
Lb/lir
1473 1458
1353
1231
W
Mach
Ind
.
.800
.799
.786
.768
.742
G
39
KTAS
449 459
461
455 443
p
Fuel-Lb/Hr
1593 1640
1528 1419 1320
Mach
Ind
.
.810 .807
.799
.788
.772
37
KTAS
455 465
470 467
462
wJ
Fuel
-
Lb/Hr
1792 1823 1700 1586 1482
Q
Mach
Ind
.
.810 .810
.804
.795 .782
35
KTAS
458
469 475 475
471
Fuel-
Lb/Hr
1812
1901
1835
1722 1618
Mach
Ind
.
.810 .810
.805
.798 .788
30
KTAS
469
479 486 486
484
Fuel
-Lb/lir
2029 2115
2087
1999
1922
KTAS
330
330
330 330
329
25
KTAS
462
472
481
486
490
Fuel
-Lb/Hr
2053
2154
2246
2295
2235
KIAS
340 340 340
340
340
20
KTAS
440
449
458
463
467
Fuel-Lb/Hr
2092
2194
2284
2328
2379
KIAS
340
340
340
340
340
15
KTAS
409
417
425
429
432
Fuel-Lb/Hr
2098
2205
2299
2340 2382
KIAS
340
340
340
340
340
10
KTAS
380
387
394
398 401
Fuel-Lb/Hr
2142
2237 2329 2373
2418
KIAS
300 300 300 300 300
5
KTAS
313 318 324
327
330
Fuel-Lb/Hr
1797 1869 1933 1967
2005
KIAS
300 300 300 300
300
S
.L
.
KTAS
291
297
302
304 307
Fuel-
Lb/Hr
1881
1954
2030
2066 2103

Table of Contents

Related product manuals