EasyManua.ls Logo

Breas Nippy 4 - Power Supply; Environmental Conditions

Breas Nippy 4
153 pages
Print Icon
To Next Page IconTo Next Page
To Next Page IconTo Next Page
To Previous Page IconTo Previous Page
To Previous Page IconTo Previous Page
Loading...
Spont Rate
Range/Performance: 0 to 99 bpm.
Tolerance: ±1 bpm
% Spont
Range/Performance: 0 to 100%.
SpO
2
Range/Performance: 70 to 100%.
Tolerance: ±3 digits. No motion and flex sensor.
Pulse Rate
Range/Performance: 25 to 240 bpm.
Tolerance: ±3 digits. No motion and flex sensor.
I:E
Range/Performance: 1:10 to 10:1.
Tolerance: ±0.1 unit for I:E < 9.9, ±1 unit otherwise.
Insp. Time
Range/Performance: 0.3 to 5 s.
Tolerance: ±0.1 s
Rise Time
Range/Performance: 0.1 to 5 s.
Tolerance: ±10% or ±0.1 s, whichever is greatest
8.2.5 Power Supply
AC supply: 100 to 240 V AC, tolerance: +10%/-20%, 50 to 60 Hz, 1.0 - 2.0 A.
External DC: 19 V DC, tolerance: 19 V ± 6 V. Max 90 W.
Click-in battery: Capacity: 65Wh. Li-ion.
Internal battery: Capacity: 25Wh. Li-ion. Expected service life: 500 full charging cycles.
8.2.6 Environmental Conditions
Operating temperature range: 5 to 40°C (41 to 104°F)
Storage and transport temperature: -20 to +60°C (-4 to +140°F)
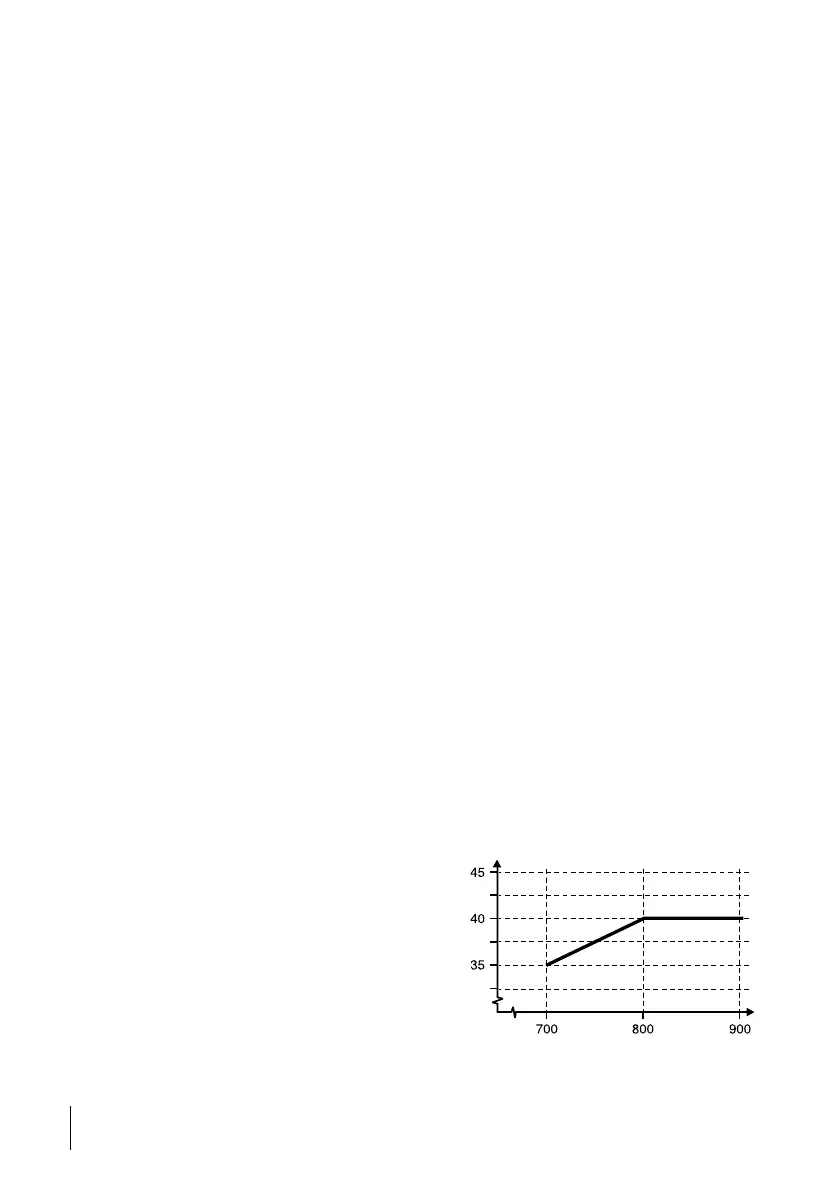
Ambient pressure range:
700 to 1100 mbar, corresponding to
~4200 metres (13800 feet) above sea level
to ~700 metres(2300 feet) below sea level,
at normal atmospheric pressure.
As seen in the graph above, the ventilator
is unable to deliver set max pressure at a
very low ambient pressure.
122
Technical Specifications
User Manual
Doc. 006553 M-6

Table of Contents

Related product manuals