EasyManua.ls Logo

GE RSTi-EP - Page 178

GE RSTi-EP
425 pages
To Next Page IconTo Next Page
To Next Page IconTo Next Page
To Previous Page IconTo Previous Page
To Previous Page IconTo Previous Page
Loading...
Chapter 5 Detailed Descriptions of I/O Modules
GFK-2958E RSTi-EP User Manual 174
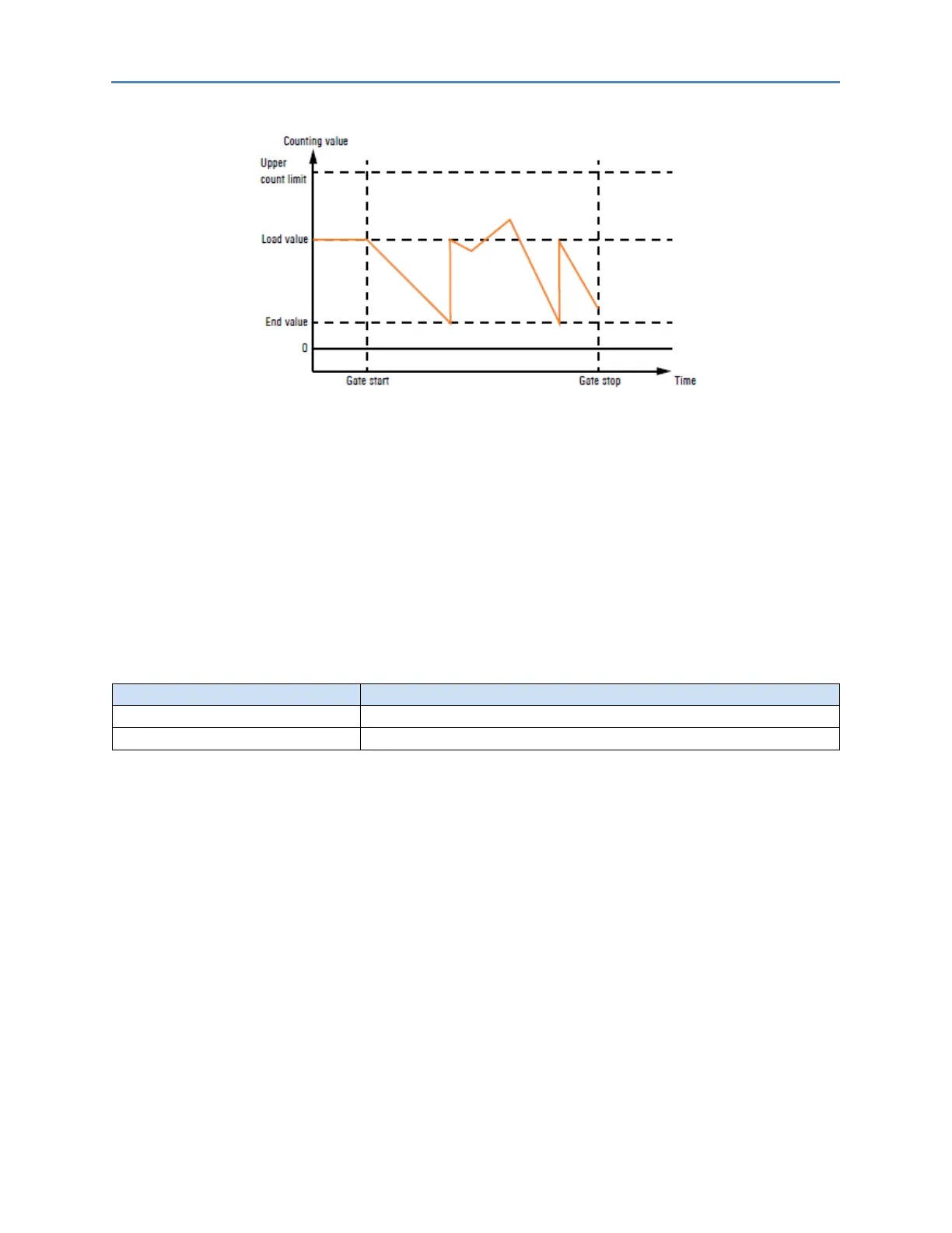
Periodic Counting/ Primary Direction Down
Periodic Counting, Primary Counting Direction Down
Down-counting starts at the load value.
If the parametrerized end value +1 is reached during counting in the negative direction, the
counter jumps back to the load value at the next count pulse and continues counting from
there. The status bit Endvalue reached is set and a process alarm will be triggered if it is
parameterised.
Upon reaching the upper count limit the counter jumps to the lower count limit to continue
counting from there. The status bit Overflow performed is set and a process alarm will be
triggered if it is parameterized. All status bits remain set until they are reset with the bit Reset
status bits in the control word.
Counting Range
Limits
Valid range of values
End value
2 147 483 647 (2
31
) to +2 147 483 646 (2
31
2)
Upper count limit
+2 147 483 648 (2
31
-1)

Table of Contents

Other manuals for GE RSTi-EP

Related product manuals