EasyManua.ls Logo

Inficon Cygnus 2 - Page 242

Inficon Cygnus 2
266 pages
To Next Page IconTo Next Page
To Next Page IconTo Next Page
To Previous Page IconTo Previous Page
To Previous Page IconTo Previous Page
Loading...
14 - 3
Cygnus 2 Operating Manual
reduces the intensity of response of the generally unwanted anharmonic modes;
hence, the potential for an oscillator to sustain an unwanted oscillation is
substantially reduced.
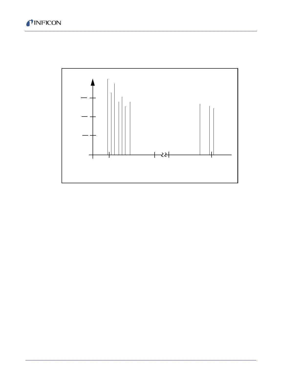
Figure 14-2 Frequency response spectrum
The use of an adhesion layer has improved the electrode-to-quartz bonding,
reducing “rate spikes” caused by micro-tears between the electrode and the quartz
as film stress rises. These micro-tears leave portions of the deposited film
unattached and therefore unable to participate in the oscillation. These free
portions are no longer detected and the wrong thickness consequently inferred.
The “AT” resonator is usually chosen for deposition monitoring because at room
temperature it can be made to exhibit a very small frequency change due to
temperature changes. Since there is presently no way to separate the frequency
change caused by added mass (which is negative) or even the frequency changes
caused by temperature gradients across the crystal or film induced stresses, it is
essential to minimize these temperature-induced changes. It is only in this way that
small changes in mass can be measured accurately.
5.981 MHz 15 ohm
6.153 MHz 50 ohm
6.194 MHz 40 ohm
6.333 MHz 142 ohm
6.337 MHz 105 ohm
6.348 MHz 322 ohm
6.419 MHz 350 ohm
17.792 MHz 278 ohm
17.957 MHz 311 ohm
18.133 MHz 350 ohm
Log of relative intensity (Admittance)
Frequency (in MHz)
1
10
1
100
1
1000
6 7 17 18

Table of Contents

Related product manuals