EasyManua.ls Logo

schmersal PSC1 - Safety-Related Shutdown Thresholds, Encoder Systems for Position and Speed Acquisition

schmersal PSC1
201 pages
Print Icon
To Next Page IconTo Next Page
To Next Page IconTo Next Page
To Previous Page IconTo Previous Page
To Previous Page IconTo Previous Page
Loading...
Installation manual
HB-37420-810-01-25F-EN PSC1-C-100 Installation manual - V2.2.docx Page 67 of 201
Version: 25F
4.2.2.5 Safety-related shutdown thresholds, encoder systems for position and speed
acquisition
As a basic measure, plausibility tests between the two measurement channels A and B for
speed and position on the PSC1 module are undertaken with the actual values for position and
speed and tested against configured thresholds.
The incremental shutdown threshold describes the position deviation that can be tolerated
between the two acquisition channels A and B in the measurement section unit.
The speed shutdown threshold describes the speed deviation that can be tolerated between
the two acquisition channels A and B.
Diagnostic functions are available in the SCOPE dialogue box in the parameter configuration
tool to determine the optimal parameter values for the application.
Note:
Speed and acceleration are acquired values with a minimum digital resolution.
This situation limits the lowest speed or acceleration that can be acquired and defines the digital
step width for the entries.
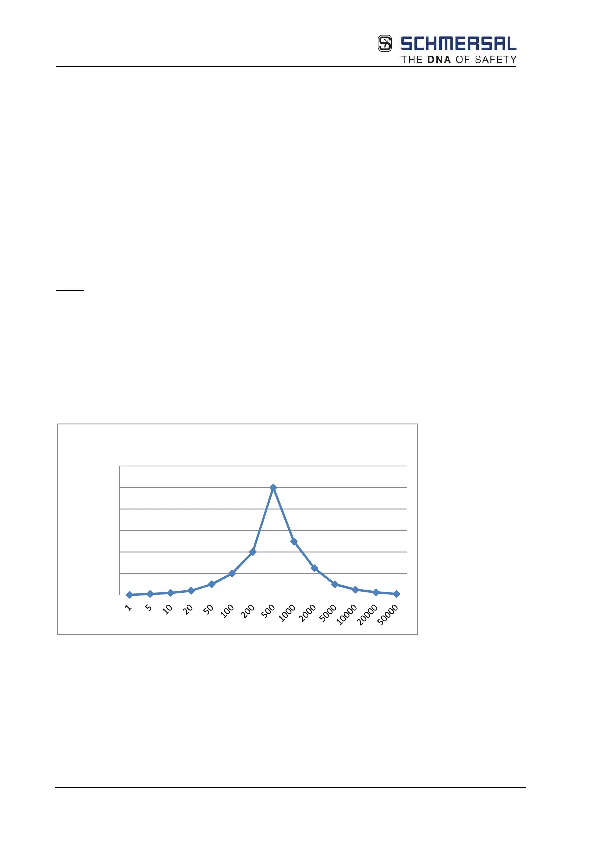
Speed resolution:
The speed is acquired to a frequency of 500 Hz or
500 steps/s using the frequency measurement method, below that using a time measurement
method. This situation produces the curve shown below for the acquisition error:
Acceleration resolution
The digital resolution of the acceleration is limited by the maximum gate time of 256 ms and the
resolution of the encoders. The graph below shows the lowest
acceleration that can be measured as a function of the resolution in rev/min, mm/s² and
m/s².
0,0%
5,0%
10,0%
15,0%
20,0%
25,0%
30,0%
Fehler in %
Fehlerverlauf V-Erfassung
Frequenz, bzw. Schritte/s

Table of Contents

Related product manuals