EasyManua.ls Logo

Waters 2489 - Replacing the Lamp

Waters 2489
234 pages
Print Icon
To Next Page IconTo Next Page
To Next Page IconTo Next Page
To Previous Page IconTo Previous Page
To Previous Page IconTo Previous Page
Loading...
4-16 Maintaining the Detector
Replacing the lamp
Recommendation: Waters recommends that you change the detector lamp
when it repeatedly fails to ignite, or when the detector fails to calibrate.
See also: The tables titled “Start up, calibration and operating error
messages” (page 5-3), “Instruments error messages” (page 5-6), and “Detector
diagnostic tests” (page 5-10).
This section describes the procedure for removing and replacing the detector
deuterium lamp.
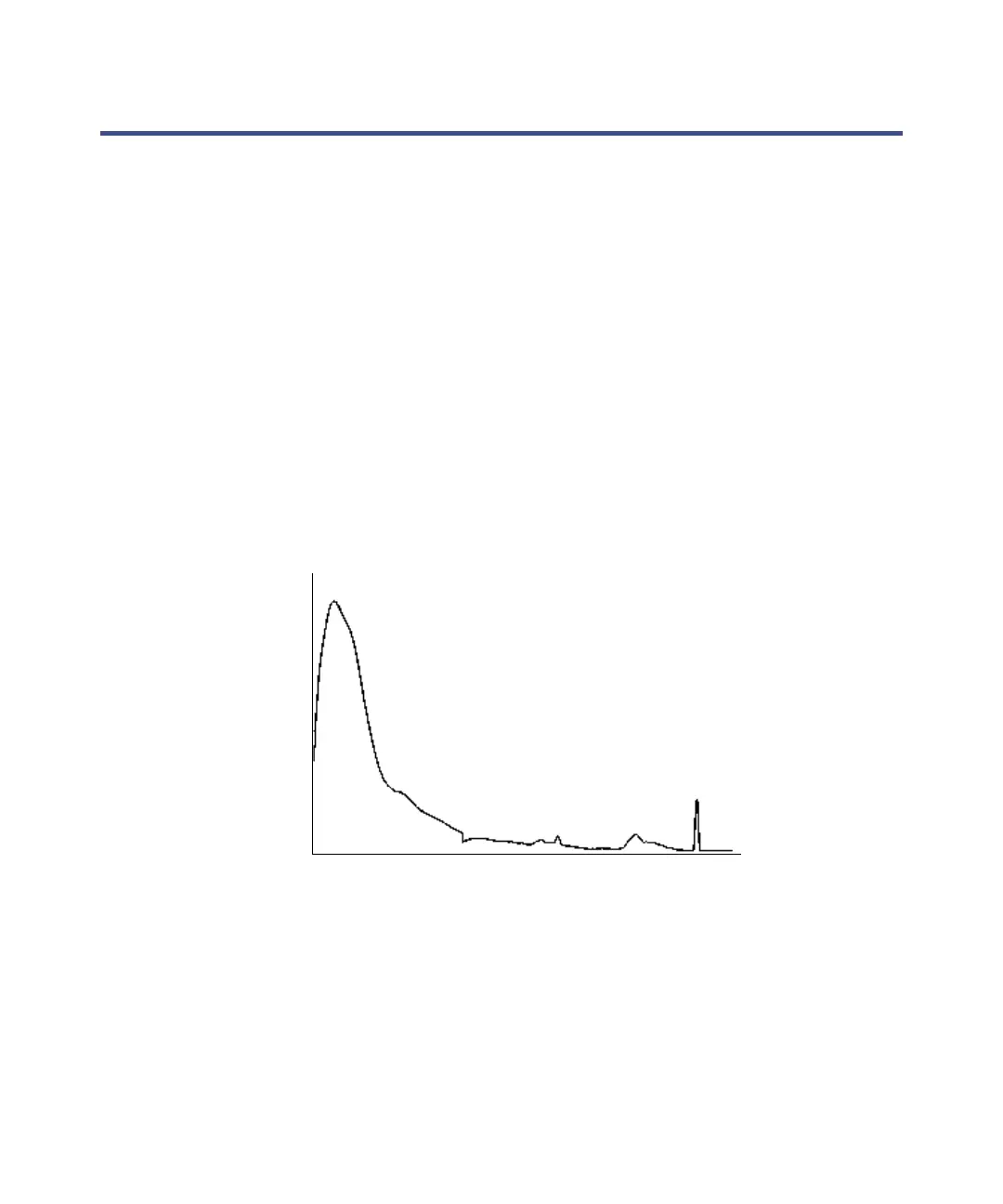
Lamp characteristics
The intensity of the deuterium source lamp varies by wavelength as shown in
the figure below.
Deuterium lamp sample beam intensity profile
Lamp energy and performance
As the lamps used in traditional detectors age, the signal-to-noise
performance of the instrument degrades. Determining the longevity of
“useful” lamp life can be difficult because of varying user requirements and
individual lamp behavior.
Intensity
Wavelength (nm)
190 700

Table of Contents

Other manuals for Waters 2489

Related product manuals