EasyManua.ls Logo

Huawei NetCol5000-C - Follow-Up Procedure

Huawei NetCol5000-C
152 pages
Print Icon
To Next Page IconTo Next Page
To Next Page IconTo Next Page
To Previous Page IconTo Previous Page
To Previous Page IconTo Previous Page
Loading...
NetCol5000-C Chilled Water-Cooled In-Row Precision
Air Conditioner
User Manual
4 Power-On Commissioning
Huawei Proprietary and Confidential
Copyright © Huawei Technologies Co., Ltd.
53
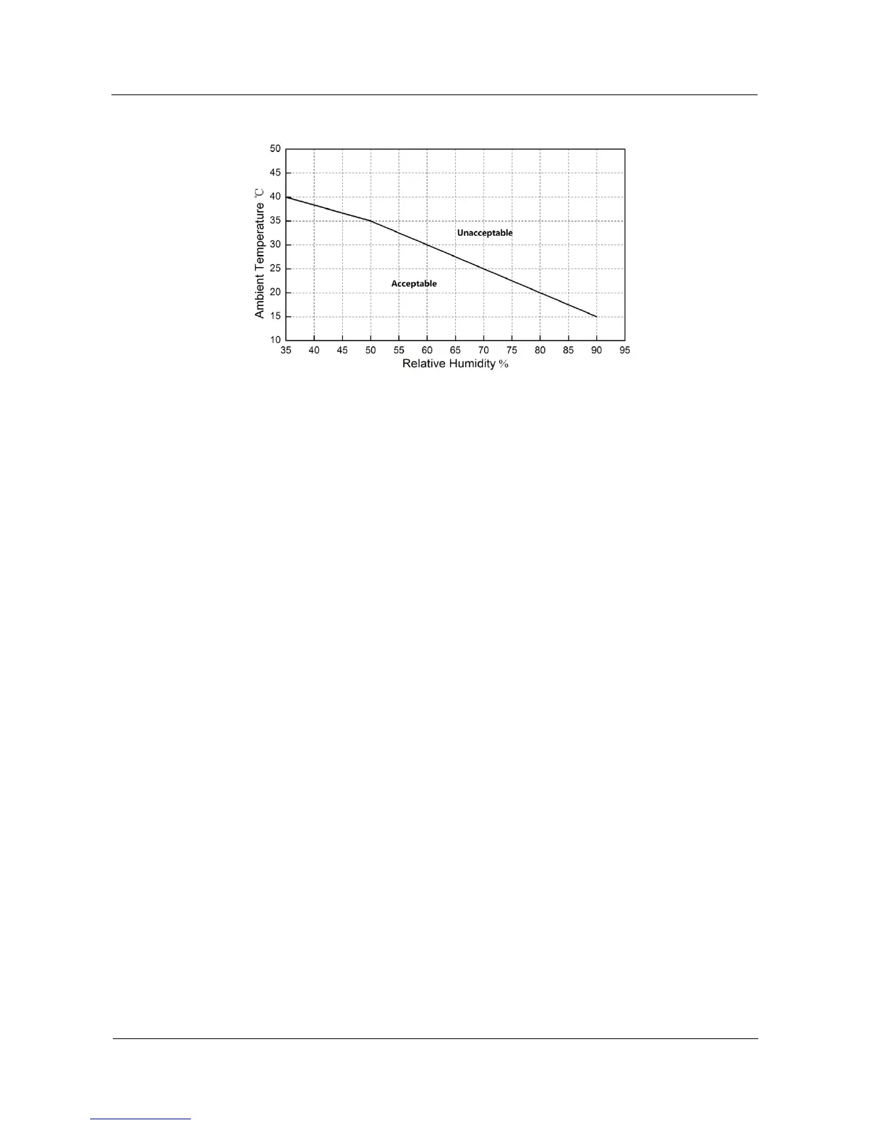
Figure 4-2 Acceptable humidity in the equipment room
4.3 Follow-up Procedure
1. Install the electrical control box cover.
2. Install the air filters. For details, see 3.6 Removing the Filters.
3. Install the cabinet doors and lock the doors. For details, see 3.5 Removing the Cabinet
Doors.

Table of Contents

Related product manuals