EasyManua.ls Logo

Kollmorgen S700 Series

Kollmorgen S700 Series
166 pages
To Next Page IconTo Next Page
To Next Page IconTo Next Page
To Previous Page IconTo Previous Page
To Previous Page IconTo Previous Page
Loading...
5 Approvals
Certificates (CE, functional safety) can be found at the Kollmorgen Website.
5.1 Conformance with UL
The servo amplifiers are listed under UL file number E217428.
UL-certified servo amplifiers (Underwriters Laboratories Inc.) fulfil the relevant U.S. stand-
ards (in this case UL 840 and UL 508C). The UL certification relates only to the mechanical
and electrical construction design of the device. This standard describes the fulfillment by
design of minimum requirements for electrically operated power conversion equipment, such
as frequency converters and servo amplifiers, which is intended to eliminate the risk of fire,
electric shock, or injury to persons, being caused by such equipment. The technical con-
formance with the U.S. standard is determined by an independent UL inspector through the
type testing and regular checkups. Apart from the notes on installation and safety in the doc-
umentation, the customer does not have to observe any other points in direct connection with
the UL-certification of the equipment.
UL 508C: UL 508C describes the fulfillment by design of minimum requirements for elec-
trically operated power conversion equipment, such as frequency converters and servo amp-
lifiers, which is intended to eliminate the risk of fire being caused by such equipment.
UL 840: UL 840 describes the fulfillment by design of air and insulation creepage spacings
for electrical equipment and printed circuit boards.
UL Markings
Use 60°C or 75°C copper wire only.
Tightening torque for field wiring terminals:
X0 8-2 AWG, TQ Lb In. 40.
X8 8-2 AWG, TQ Lb In. 40.
Use in a pollution degree 2 environment.
These devices provide solid state motor overload protection at 130% of full load current.
Integral solid state short circuit protection does not provide branch circuit protection.
Branch circuit protection must be provided in accordance with the National Electrical
Code and any additional local codes.
These devices are not provided with motor over-temperature sensing.
Suitable for use on a circuit capable of delivering not more than 42kA rms symmetrical
amperes for a max. voltage of 480 Vac.
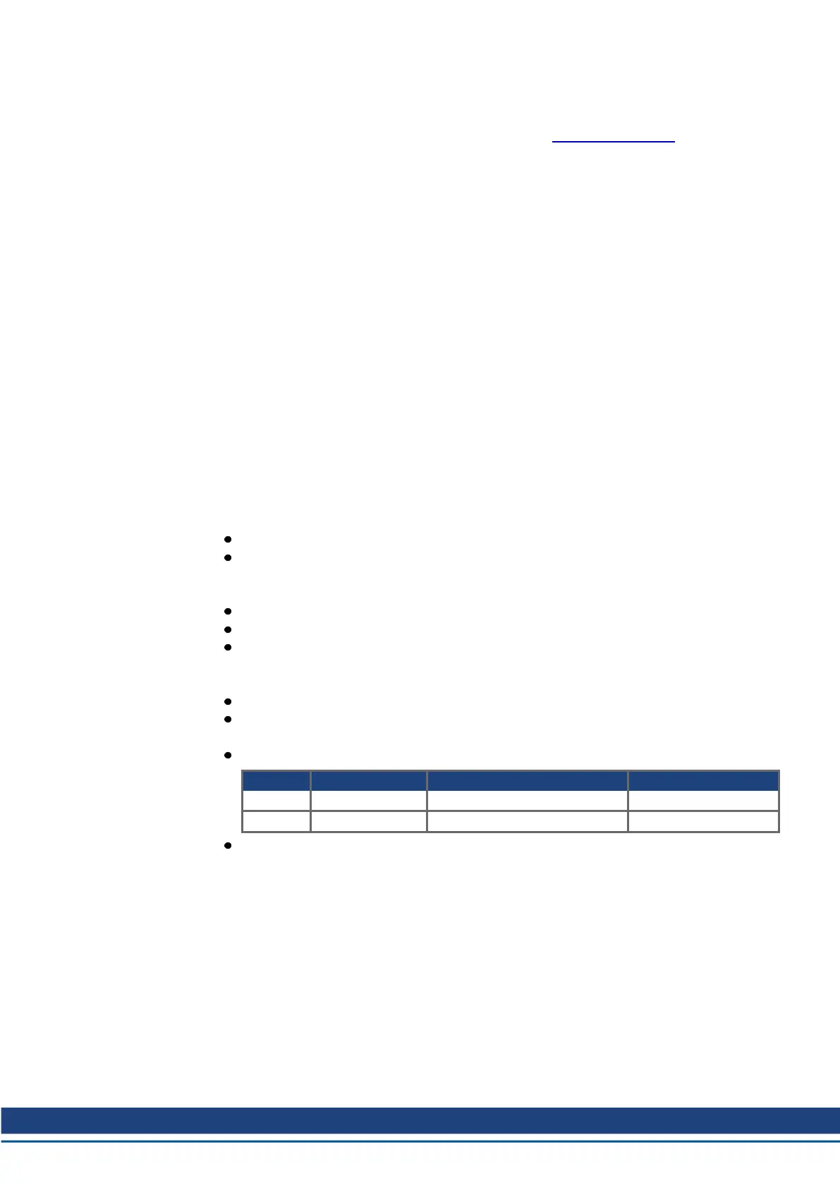
Supply circuit protection:
Model Fuse class Rating Voltage/SCCR Max. Fuse Rating
S7480 RK5, CC, J, T 600VAC 200kA 60A
S7720 RK5, CC, J, T 600VAC 200kA 80A
For use on a solidly grounded wye source only.
S748-772 Instructions Manual | 5 Approvals
Kollmorgen | kdn.kollmorgen.com | July 2019 21

Table of Contents

Other manuals for Kollmorgen S700 Series

Related product manuals