EasyManua.ls Logo

OTE VS 2001 - Fig. 7.10: the Equipment Doesnt Turn on

Default Icon
172 pages
Print Icon
To Next Page IconTo Next Page
To Next Page IconTo Next Page
To Previous Page IconTo Previous Page
To Previous Page IconTo Previous Page
Loading...
VS 2001
Technical Handbook
Accessories
P/N: 779-0373/02
Revision 02
Marconi Proprietary information
Page 105
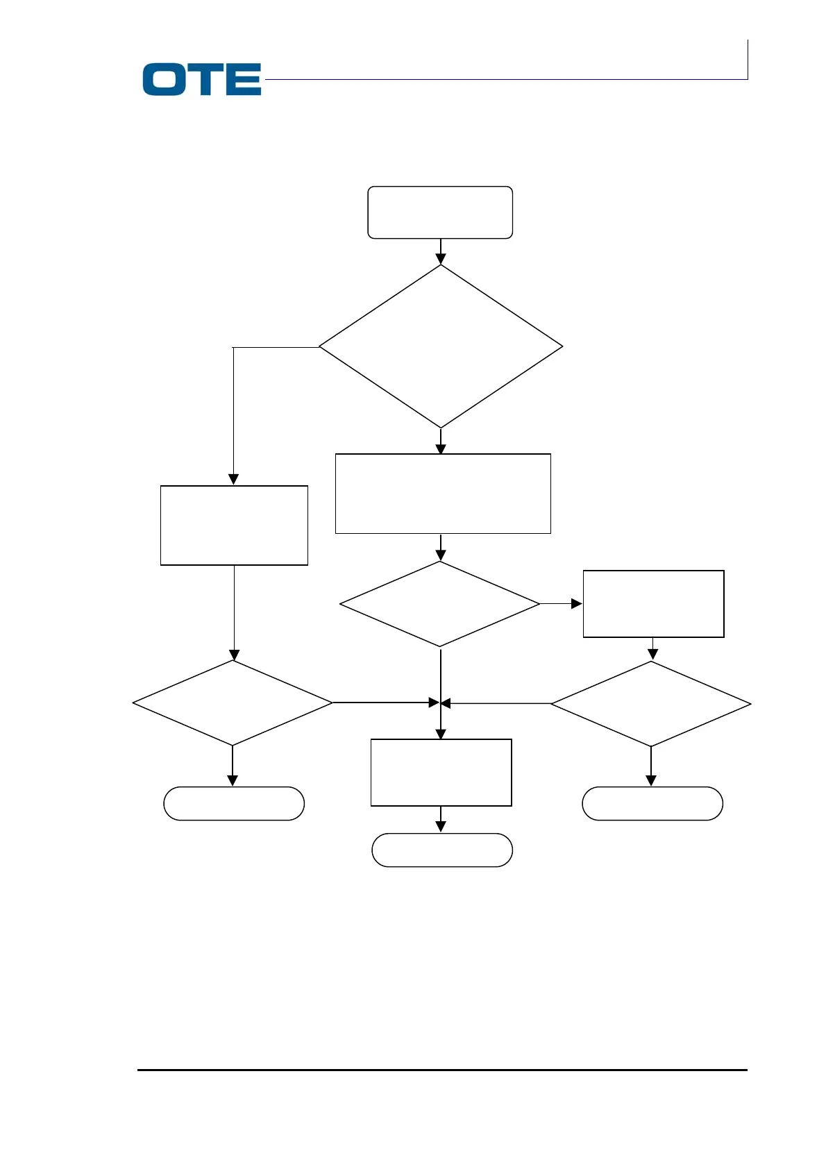
Fig. 7.10: The equipment doesn’t turn on
The equipment
doesn’t turn on
Is the equipment
properly connected to
the battery plug?
Check that both the contacts of
the battery are in good repair,
operate, when required as
described in the PM-01 form.
NO
YES
Is the fuse in
good repair
?
Send the equipment
to the OTE
assistance.
END SEARCH
Is the problem
solved
?
NO
END SEARCH
YES
Replace the fuse as
described in CM-01
form.
YES
Is the problem
solved
?
NO
END SEARCH
YES
NO
Connect the
equipment to the
battery plug.

Table of Contents

Related product manuals