EasyManua.ls Logo

OTE VS 2001 - Fig. 7.20: TX Test (Sheet 2 of 2)

Default Icon
172 pages
Print Icon
To Next Page IconTo Next Page
To Next Page IconTo Next Page
To Previous Page IconTo Previous Page
To Previous Page IconTo Previous Page
Loading...
VS 2001
Technical Handbook
Accessories
P/N: 779-0373/02
Revision 02
Marconi Proprietary information
Page 119
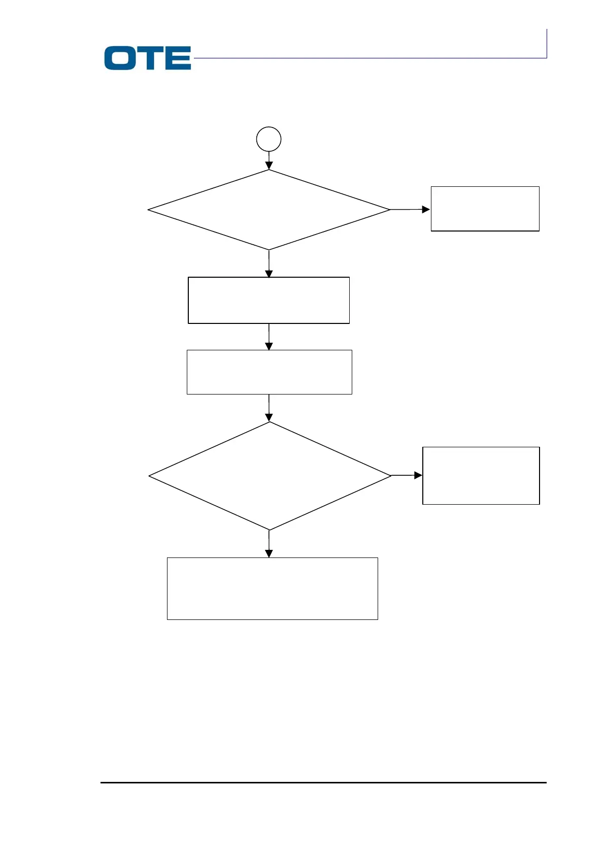
Fig. 7.20: TX test (sheet 2 of 2)
The problem is caused by the
wiring (in particular the
cable from front panel and Radio Unit)
the hand-held terminal.
The front panel on test is OK.
Set it again in place of the
reference front panel.
Replace the original microphone
with the reference one.
The original
microphone is faulty.
Does the hand-held
terminal receive the LF
from the Radio equipment on
test?
The original front
panel is faulty.
Does the handheld receive
the LF from the Radio equipment
on test?
A
NO
YES
YES
NO

Table of Contents

Related product manuals