EasyManua.ls Logo

OTE VS 2001 - Fig. 7.16: Registration Test

Default Icon
172 pages
Print Icon
To Next Page IconTo Next Page
To Next Page IconTo Next Page
To Previous Page IconTo Previous Page
To Previous Page IconTo Previous Page
Loading...
VS 2001
Technical Handbook
Troubleshooting
Page 114 Marconi Proprietary information
P/N: 779-0373/02
Revision 02
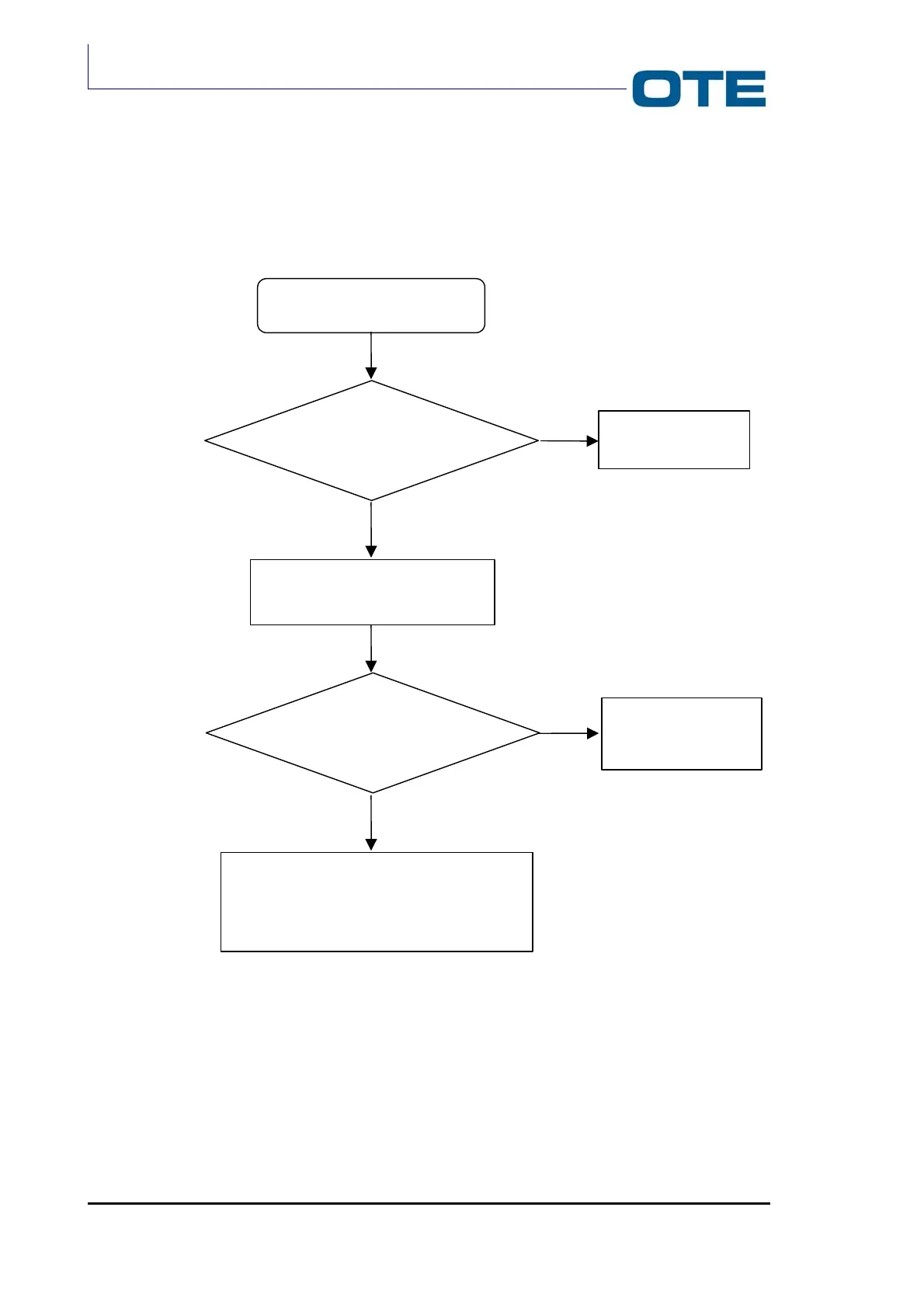
Fig. 7.16: Registration test
REGISTRATION TEST
Replace the Radio equipment
with the reference one.
The radio equipment
on test is faulty.
Does the radio register
on the reference BS
?
GO TO
CALL TEST
Does the radio register
on the reference BS
?
The problem is caused by the
system. In particular the BS, the
system and the connection between
radio and the antenna must be checked.
YES
NO
YES
NO

Table of Contents

Related product manuals