EasyManua.ls Logo

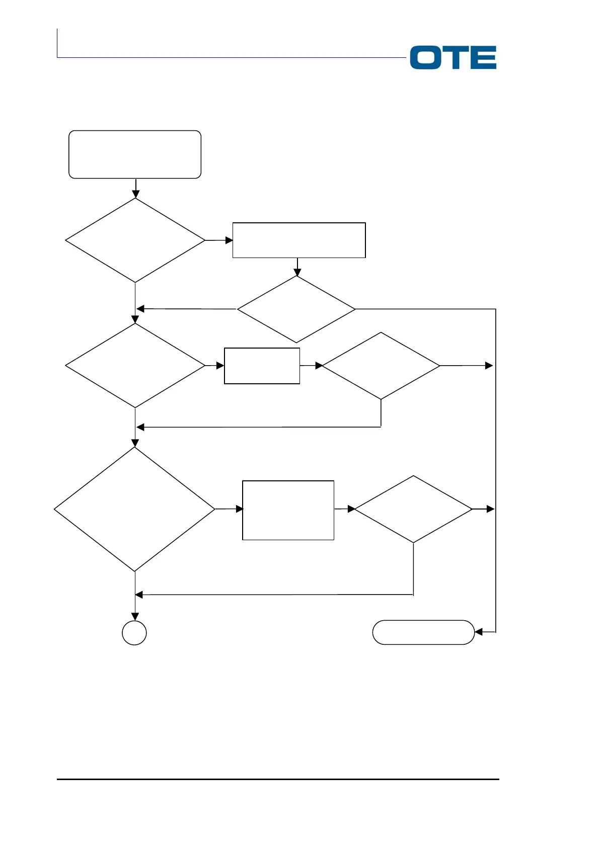
OTE VS 2001 - Fig. 7.11: Its Not Possible to Exchange Data with an External Equipment (Sheet 1 of 2)

Default Icon
172 pages
Print Icon
To Next Page IconTo Next Page
To Next Page IconTo Next Page
To Previous Page IconTo Previous Page
To Previous Page IconTo Previous Page
Loading...
VS 2001
Technical Handbook
Troubleshooting
Page 106 Marconi Proprietary information
P/N: 779-0373/02
Revision 02
Fig. 7.11: It’s not possible to exchange data with an external equipment (sheet 1 of 2)
It’s not possible to
exchange data with an
external equipment
Are the radio
and the external
equipment both
lighted?
Light the radio and/or the
external equipment.
NO
It is still
impossible to
exchange data?
YES
NO
The SW resident
on the external equipment
is setting correctly so as to
send/received data
on/from serial
active door?
YES
Is it still
impossible to
exchange data?
NO
The series
of the external
equipment
was defuse?
NO
YES
Setting correctly
the SW resident
on the external
equipment.
NO
Is it still
impossible to
exchange data?
NO
YES
YES
END SEARCH
YES
Re-establish
the series.
A

Table of Contents

Related product manuals