EasyManua.ls Logo

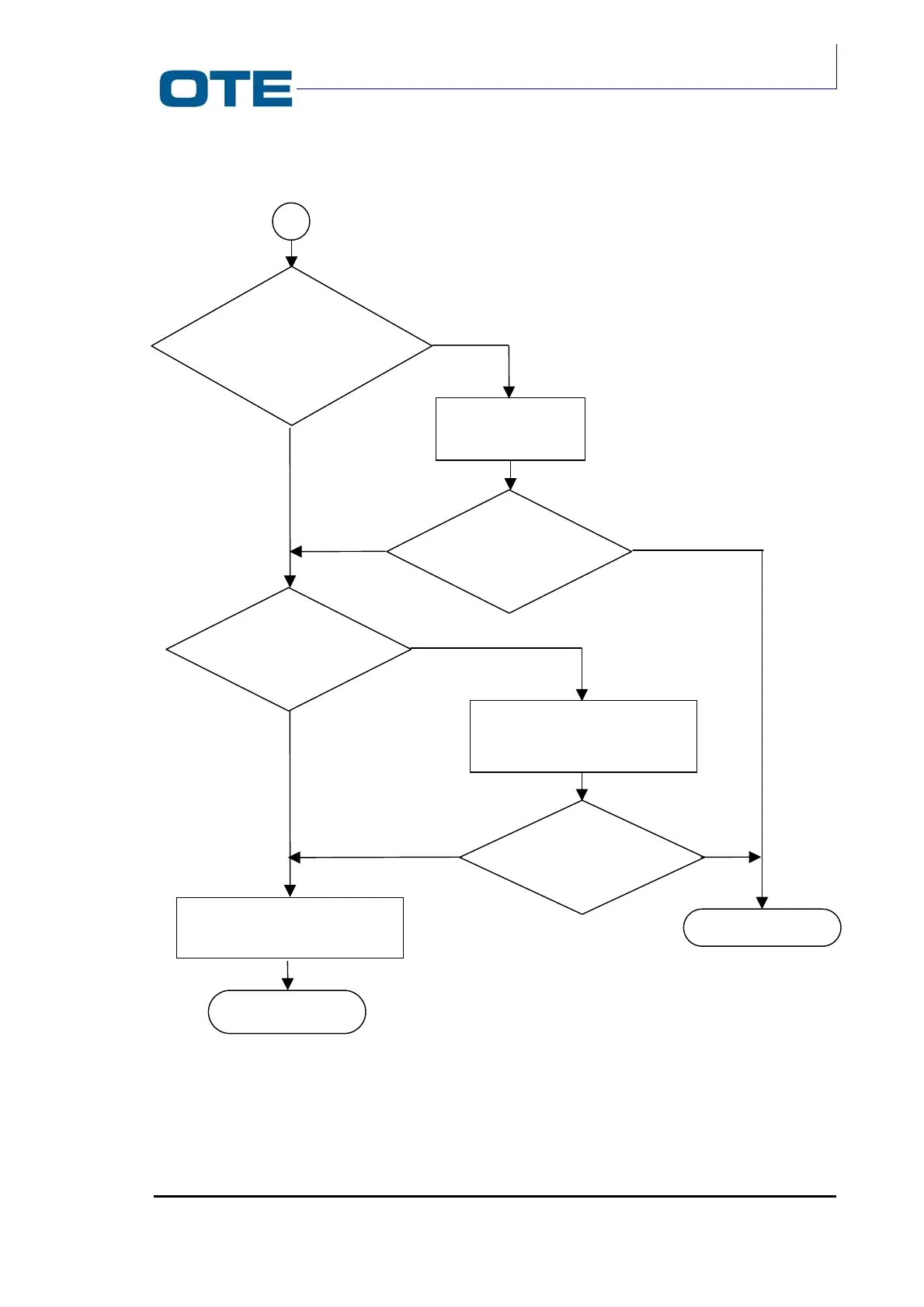
OTE VS 2001 - Fig. 7.11: Its Not Possible to Exchange Data with an External Equipment (Sheet 2 of 2)

Default Icon
172 pages
Print Icon
To Next Page IconTo Next Page
To Next Page IconTo Next Page
To Previous Page IconTo Previous Page
To Previous Page IconTo Previous Page
Loading...
VS 2001
Technical Handbook
Accessories
P/N: 779-0373/02
Revision 02
Marconi Proprietary information
Page 107
Fig. 7.11: It’s not possible to exchange data with an external equipment (sheet 2 of 2)
Is the connection
between the radio
terminal and the external
equipment correct ?
YES
NO
Restore the
connection
YES
NO
Is it still
impossible to
exchange data?
Is the side
connector in
good repair?
NO
YES
Operate on the side connector
as it is described in the MP-03
form.
Send the radio to the OTE
assistance center.
Is it still
impossible to
exchange data?
YES
NO
END SEARCH
END SEARCH
A

Table of Contents

Related product manuals