EasyManua.ls Logo

OTE VS 2001 - Page 136

Default Icon
172 pages
Print Icon
To Next Page IconTo Next Page
To Next Page IconTo Next Page
To Previous Page IconTo Previous Page
To Previous Page IconTo Previous Page
Loading...
VS 2001
Technical Handbook
Troubleshooting
Page 108 Marconi Proprietary information
P/N: 779-0373/02
Revision 02
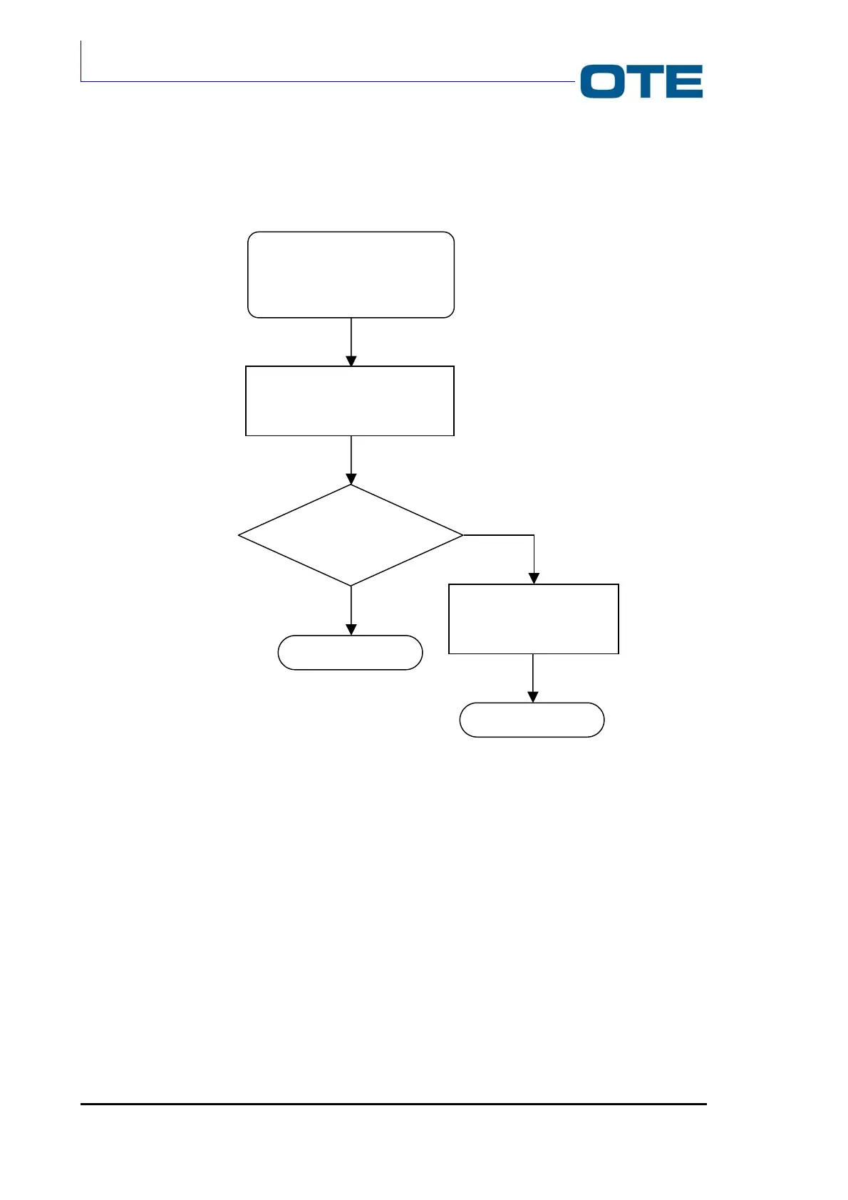
Fig. 7.12: Failure in the selection of the standard operative functions and/or in the
selection of the digits from the keyboard
Failure in the selection at the
standard operative functions
and/or in the selection of the
digits from the keyboard
Replace the FPG1/A control
panel as described in CM-02
form.
Is the problem
solved
?
Send the equipment to
the OTE assistance.
NO
YES
END SEARCH
END SEARCH

Table of Contents

Related product manuals