EasyManua.ls Logo

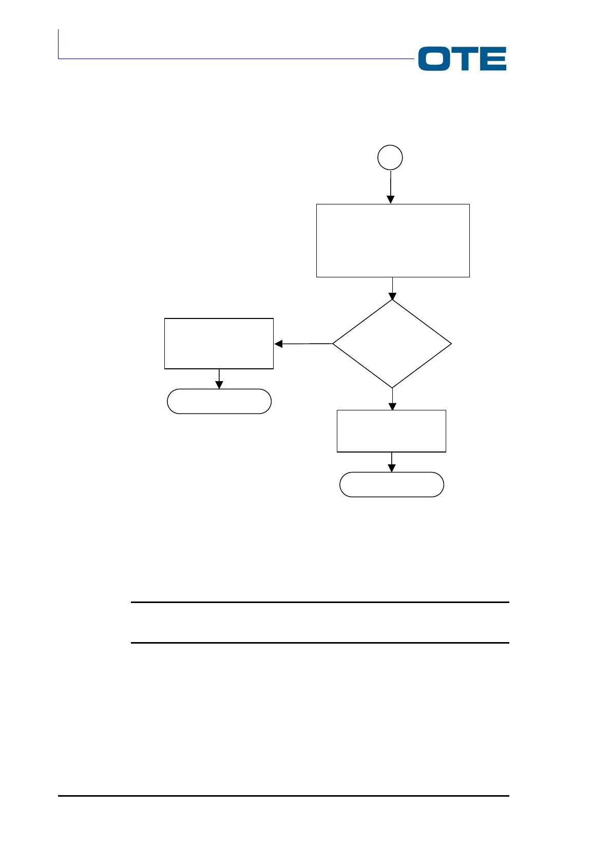
OTE VS 2001 - Fig. 7.15: the Radio Link, Within the Normal Coverage Area, Is Impossible, Intermittent or Faint (Sheet 2 of 2)

Default Icon
172 pages
Print Icon
To Next Page IconTo Next Page
To Next Page IconTo Next Page
To Previous Page IconTo Previous Page
To Previous Page IconTo Previous Page
Loading...
VS 2001
Technical Handbook
Troubleshooting
Page 112 Marconi Proprietary information
P/N: 779-0373/02
Revision 02
Note
In this flowchart the antenna system is considered in good repair.
Fig. 7.15: The radio link, within the normal coverage area, is impossible, intermittent or
faint (sheet 2 of 2)
A
Check if the terminal is able to
exchange correctly radio
signals by performing the test
described in the par. 7.2 of this
manual.
Has the radio
successfully
performed the
test?
Send the radio to the
OTE assistance.
YES
NO
The problem doesn’t
depend on the radio
but on the network.
END SEARCH
END SEARCH

Table of Contents

Related product manuals