EasyManua.ls Logo

XITRON XT2640 - Page 175

Default Icon
187 pages
Print Icon
To Next Page IconTo Next Page
To Next Page IconTo Next Page
To Previous Page IconTo Previous Page
To Previous Page IconTo Previous Page
Loading...
XT2640OperatingManual 13July2016 Page175of187

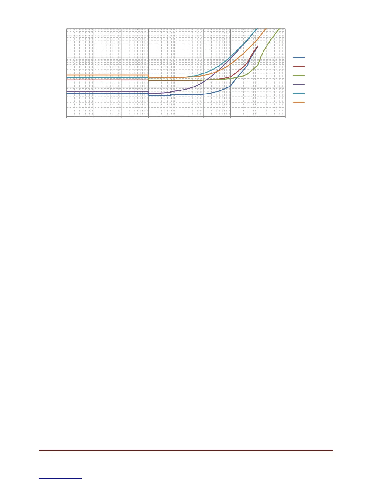
0.01%
0.10%
1.00%
10.00%
0.01 0.1 1 10 100 1000 10000 100000 1000000
Hz
WattsErrorvsFrequency@240V,1A(PF=0.3and1),DorHoptions
A(PF=1)
S(PF=1)
W(PF=1)
A(PF=0.3)
S(PF=0.3)
W(PF=0.3)

Table of Contents