EasyManua.ls Logo

Canon varioPRINT 110 - Bundle Jobs in the List of Waiting Jobs

Canon varioPRINT 110
454 pages
Print Icon
To Next Page IconTo Next Page
To Next Page IconTo Next Page
To Previous Page IconTo Previous Page
To Previous Page IconTo Previous Page
Loading...
Bundle Jobs in the List of [Waiting jobs]
Introduction
The bundle function allows you to combine two or more jobs into one new job. For example, this
can be convenient when the participants of a meeting need several documents in a specific order.
Often, the required documents are sent from several workplaces to the printer in advance.
Normally, this means that you must print the documents first and sort or staple them later. By
using the bundle function you can determine the order of the documents before printing and
print all documents in the correct order in only 1 print job.
Important Information About the Bundle Function
You can only bundle print jobs that are currently in the list of [Waiting jobs].
You can change a number of settings for the bundled job via the [Properties] window.
By default, the number of sets for a bundled job is one. So before printing, you must first
indicate the required number of sets.
When you stop a job after a set, the printing stops after one copy of the complete bundle.
The jobs in a bundle are accounted separately under the account ID of the original jobs.
All the jobs in the bundle must have the same output location. Otherwise, the control panel
displays a warning message. To continue, you must first split the bundled job, then change the
individual job settings and finally bundle the jobs again.
Main Actions on the Bundle Function
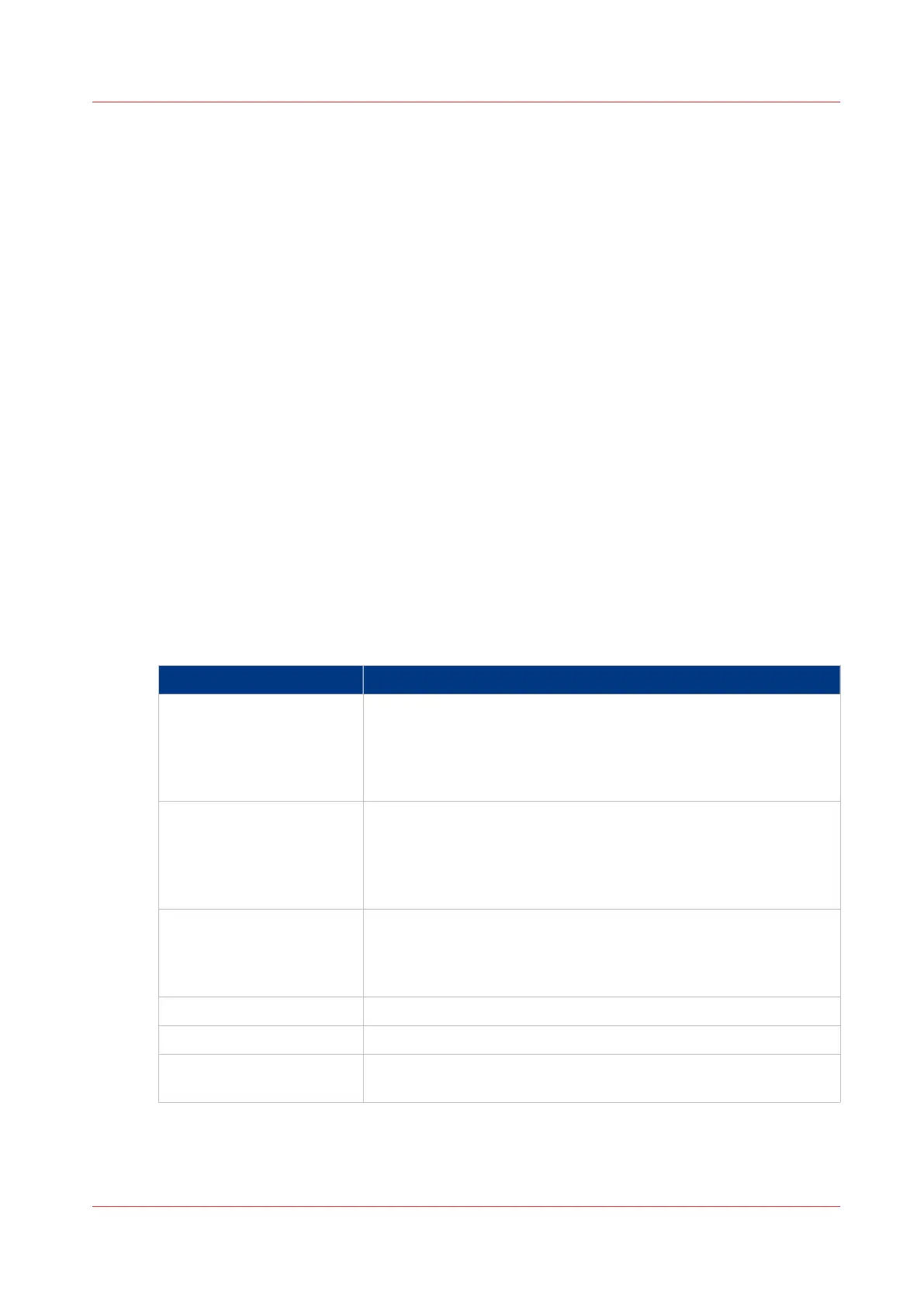
The table below describes the main actions you can carry out with regard to the bundle function.
Main bundle functions
Main actions Description
[Bundle] When you touch [Bundle] after selecting two or more jobs, a new
job is created that contains the original jobs. The new job is added
to the bottom of the list of [Waiting jobs]. The original jobs are re-
moved from the list. The new job gets a new name that is based
on the name of the first job in the bundle.
[Split] When you touch [Split] after selecting a bundled job, the job is
split into the original, separate jobs. The bundled job is removed.
The separate jobs are added to the bottom of the list of [Waiting
jobs]. You can use the [Split] function to correct mismatched set-
tings, for example.
Change job settings The [Properties] window gives access to a pane where you can do
the following.
Change a number of job settings.
Change the order of the jobs in the bundle.
[Delete] Delete the job.
[Ticket] Print the job ticket of the job.
[Proof] Print one copy of the job first to check if the result meets your ex-
pectations.
Bundle Jobs in the List of [Waiting jobs]
Chapter 6 - Carry Out Print Jobs
153
Canon varioPRINT 135 Series

Table of Contents

Other manuals for Canon varioPRINT 110

Related product manuals