EasyManua.ls Logo

HP 8163A - How to Set the Wavelength Sweep; The Sweep Parameters; How to Set the Repeat Mode

HP 8163A
207 pages
Print Icon
To Next Page IconTo Next Page
To Next Page IconTo Next Page
To Previous Page IconTo Previous Page
To Previous Page IconTo Previous Page
Loading...
110
Tunable Laser Sources
How to Perform a Wavelength Sweep
How to Set the Wavelength Sweep
The Sweep Parameters
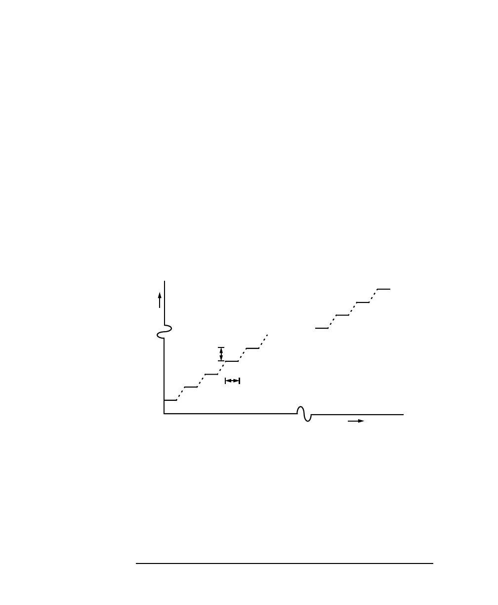
These are the parameters for the wavelength sweep:
START], the wavelength at which the sweep begins,
STOP], the wavelength at which the sweep ends,
•[STEP], the size of the change in the wavelength for each step,
•[CYCLES], the number of times the sweep is repeated,
•[DWELL], the amount of time spent at the wavelength during
each step, for a stepped sweep
•[VSWEEP], the speed of a continuous sweep,
•[SWEEP MODE], see “How to Perform a Sweep” on page 111,
•[REPEAT MODE], see “How to Set the Repeat Mode” on
page 110.
How to Set the Repeat Mode
The [REPEAT MODE] determines how the instrument performs a
multi-cycle sweep.
Select <TWOWAY>, if you want to start every odd sweep cycle
at START] and to start each even sweep cycle at STOP].
Select <ONEWAY>, if you want to start every sweep cycle at
START] and to end every sweep cycle at STOP].
Figure 5-8 The Parameters for a Stepped Wavelength Sweep
Sweep Cycles = 1
λ
t
λ Stop
Dwell
Step
λ Start
Time

Table of Contents

Related product manuals