EasyManua.ls Logo

NT-MDT Solver Next - Page 170

NT-MDT Solver Next
214 pages
Print Icon
To Next Page IconTo Next Page
To Next Page IconTo Next Page
To Previous Page IconTo Previous Page
To Previous Page IconTo Previous Page
Loading...
Solver NEXT SPM. Instruction Manual
162
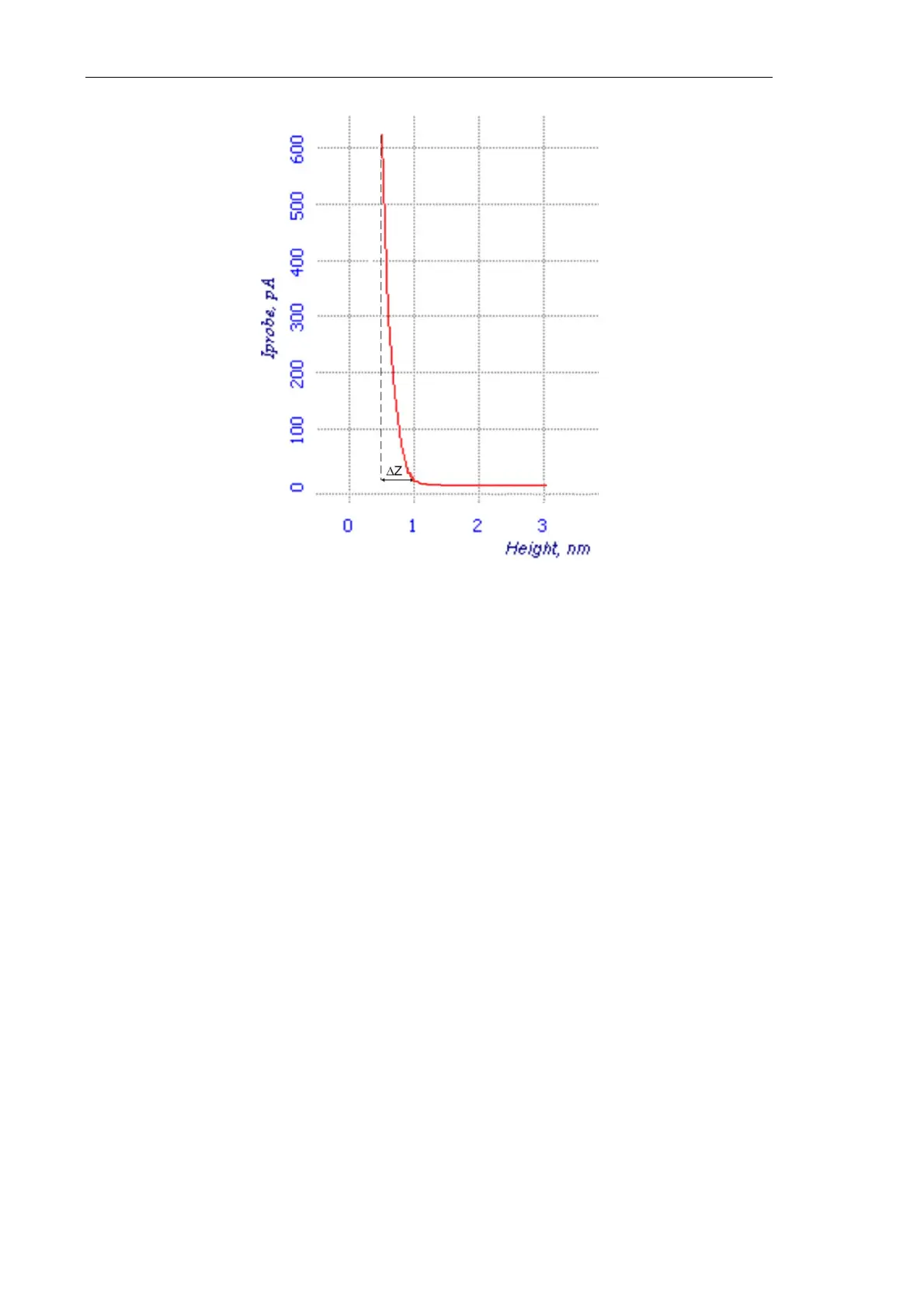
Fig. 7-151.
I(Z)
For high resolution of STM images, the condition ΔZ < 1 nm should be met (sharp drop of
current in Fig. 7-151). Violation of this condition implies the tip become blunt and it
should be exhanged for a sharp one.

Table of Contents