EasyManua.ls Logo

ABB REL650 - Page 272

ABB REL650
942 pages
Print Icon
To Next Page IconTo Next Page
To Next Page IconTo Next Page
To Previous Page IconTo Previous Page
To Previous Page IconTo Previous Page
Loading...
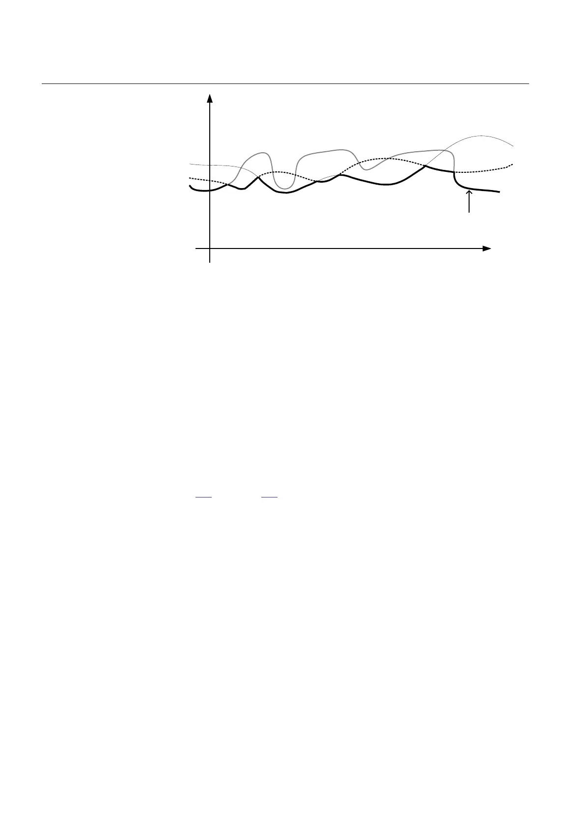
Voltage
IDMT Voltage
Time
UL1
UL2
UL3
IEC12000186-1-en.vsd
IEC12000186 V1 EN-US
Figure 127: Voltage used for the inverse time characteristic integration
Trip signal issuing requires that the undervoltage condition continues for at least
the user set time delay. This time delay is set by the parameter t1 and t2 for definite
time mode (DT) and by some special voltage level dependent time curves for the
inverse time mode (IDMT). If the start condition, with respect to the measured
voltage, ceases during the delay time, and is not fulfilled again within a user-
defined reset time (tReset1 and tReset2 for the definite time and tIReset1 and
tIReset2 pickup for the inverse time) the corresponding start output is reset. After
leaving the hysteresis area, the start condition must be fulfilled again and it is not
sufficient for the signal to only return back to the hysteresis area. For the
undervoltage function the IDMT reset time is constant and does not depend on the
voltage fluctuations during the drop-off period. However, there are three ways to
reset the timer: the timer is reset instantaneously, the timer value is frozen during
the reset time, or the timer value is linearly decreased during the reset time. See
figure
128 and figure 129.
Section 8 1MRK 506 382-UEN A
Voltage protection
266 Line distance protection REL650 2.2 IEC
Technical manual

Table of Contents

Other manuals for ABB REL650

Related product manuals