EasyManua.ls Logo

ABB REL650 - Blocking; Design

ABB REL650
942 pages
Print Icon
To Next Page IconTo Next Page
To Next Page IconTo Next Page
To Previous Page IconTo Previous Page
To Previous Page IconTo Previous Page
Loading...
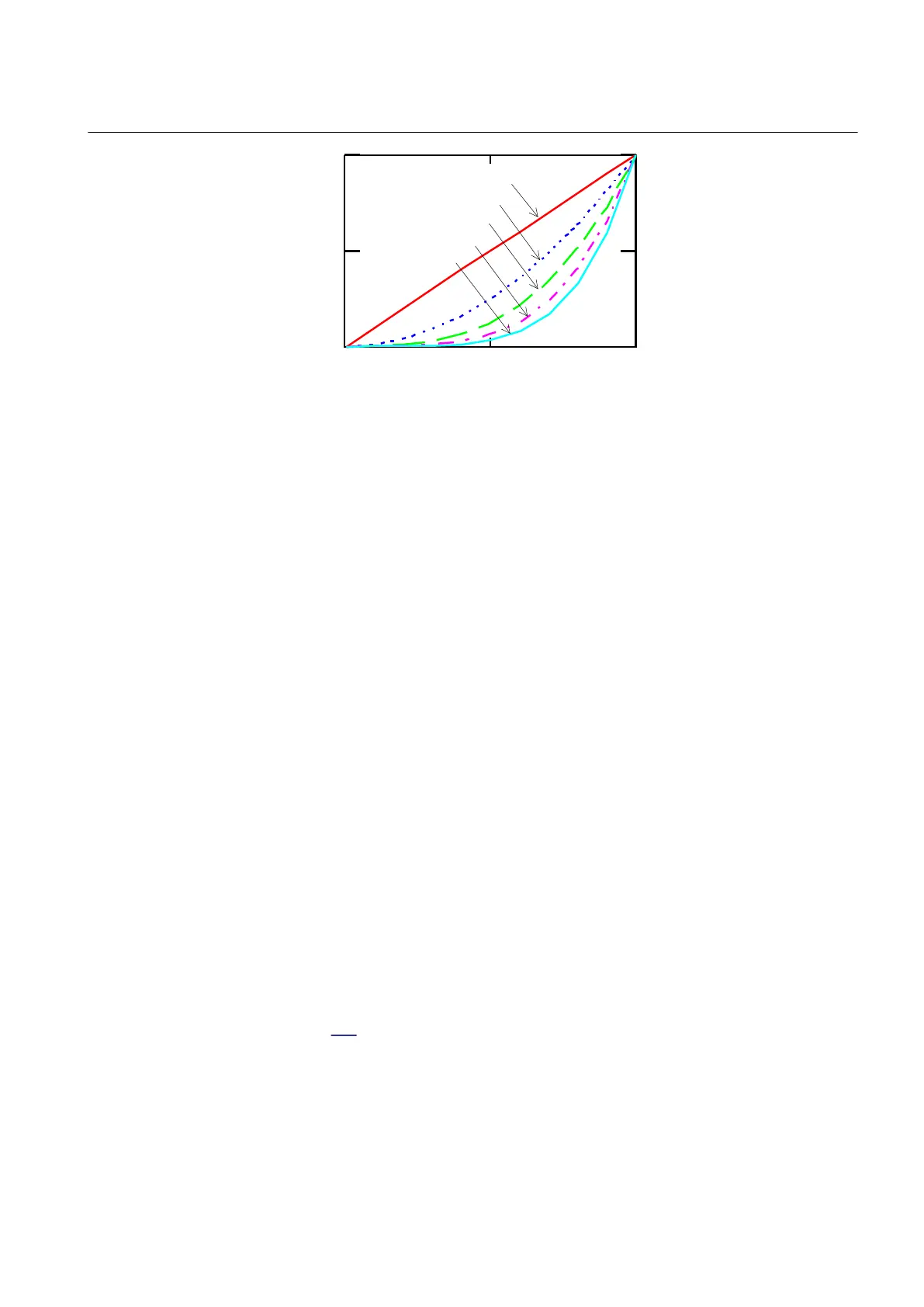
90 95 100
0
0.5
1
en05000075.vsd
T
i
m
e
D
l
y
O
p
e
r
a
t
e
[
s
]
U [% of UBase]
Exponenent
0
1
2
3
4
IEC05000075 V1 EN-US
Figure 151: Voltage dependent inverse time characteristics for underfrequency
protection SAPTUF. The time delay to operate is plotted as a
function of the measured voltage, for the Exponent = 0, 1, 2, 3, 4
respectively.
9.1.6.4 Blocking
M13354-50 v7
It is possible to block underfrequency protection SAPTUF partially or completely,
by binary input signals or by parameter settings, where:
BLOCK:
blocks the START, TRIP and
RESTORE outputs
BLKTRIP: blocks the TRIP output
BLKREST: blocks the RESTORE output
If the measured voltage level decreases below the setting of IntBlockLevel, both the
START and the TRIP outputs are blocked.
9.1.6.5 Design
M13354-63 v10
The frequency measuring element continuously measures the frequency of the
positive sequence voltage and compares it to the setting StartFrequency. The
frequency signal is filtered to avoid transients due to switchings and faults. The
time integrator can operate either due to a definite delay time or to the special
voltage dependent delay time. When the frequency has returned back to the setting
of RestoreFreq, the RESTORE output is issued after the time delay tRestore. The
design of underfrequency protection SAPTUF is schematically described in
figure
152.
1MRK 506 382-UEN A Section 9
Frequency protection
Line distance protection REL650 2.2 IEC 303
Technical manual

Table of Contents

Other manuals for ABB REL650

Related product manuals