EasyManua.ls Logo

Agilent Technologies 34420A - Page 63

Agilent Technologies 34420A
294 pages
Print Icon
To Next Page IconTo Next Page
To Next Page IconTo Next Page
To Previous Page IconTo Previous Page
To Previous Page IconTo Previous Page
Loading...
30 minute measurement, ±0.5° C, zero input, rms noise (typical)
Front Panel operation: Integration time can be set indirectly when
you select the number of digits (See page 43).
You can also set the integration time in the MEASurement menu with
the 2: INTEGRATE command.
Enable the digital filter and set the filter reading average as described
on page 55.
Remote operation: Set the integration time for the measurement
function. If possible, use NPLC 200. If you use the CONFigure or
MEASure commands, refer to the table on page 129.
Use the math operations (AVERage) to average the readings or
average the readings in your program. An example program that uses
the math operations to average readings is shown on page 221 in
Chapter 6. Do not use the digital filter to average readings, see page 56.
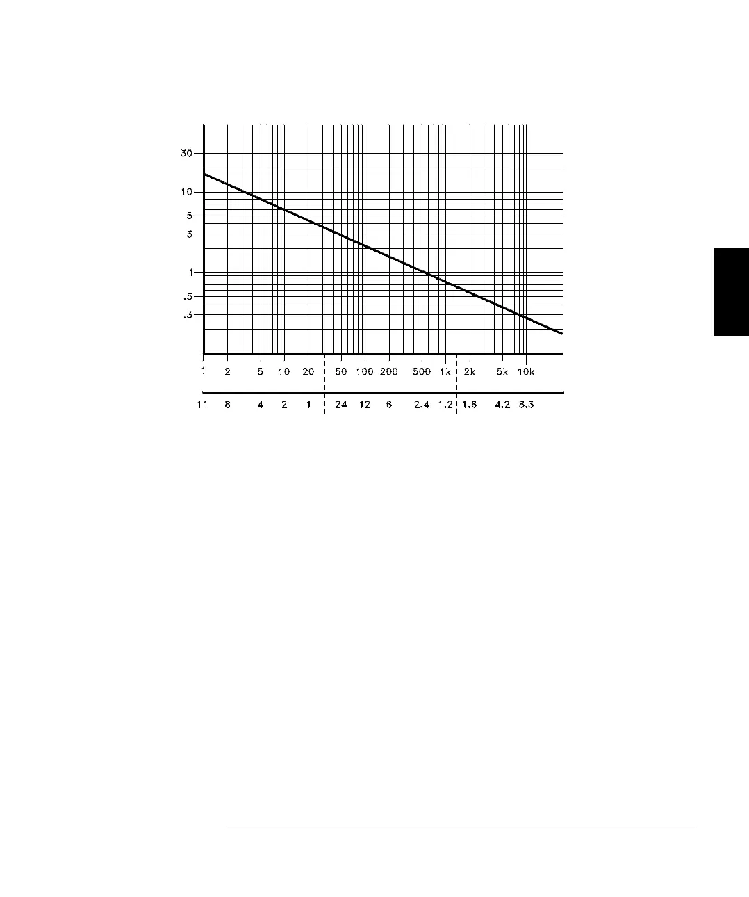
Equivalent NPLC
Approximate
Reading Rate
Readings per second
Readings per minute
Minutes per reading
nV rms Noise
3
Chapter 3 Features and Functions
General Measurement Configuration
61

Table of Contents

Related product manuals