EasyManua.ls Logo

Lantronix SLC 8000 - Rule Parameters; Updating an IP Filter

Lantronix SLC 8000
396 pages
To Next Page IconTo Next Page
To Next Page IconTo Next Page
To Previous Page IconTo Previous Page
To Previous Page IconTo Previous Page
Loading...
6: Basic Parameters
SLC™ 8000 Advanced Console Manager User Guide 77
Rule Parameters
3. Click the right arrow button to add the new rule to the bottom of the Rules list box on the
right. A maximum of 64 rules can be created for each ruleset.
4. To remove a rule from the filter set, highlight that line and click the left arrow. The rule
populates the rule definition fields, allowing you to make minor changes before reinserting the
rule. To clear the definition fields, click the Clear button.
5. To change the order of priority of the rules in the list box, select the rule to move and use the
up or down arrow buttons on the right side of the filter list box.
6. To save, click the Apply button. The new filter displays in the menu tree.
Note: To add another new filter rule set, click the Back to IP Filter link to return to the
Network > IP Filter page.
Updating an IP Filter
To update an IP filter rule set:
1. From the Network > IP Filter page, the administrator selects the IP filter ruleset to be edited
and clicks the Edit Ruleset button to return to the Network > IP Filter Ruleset (Adding/Editing
Rulesets) page (see Figure 6-4).
2. Edit the information as desired and click the Apply button.
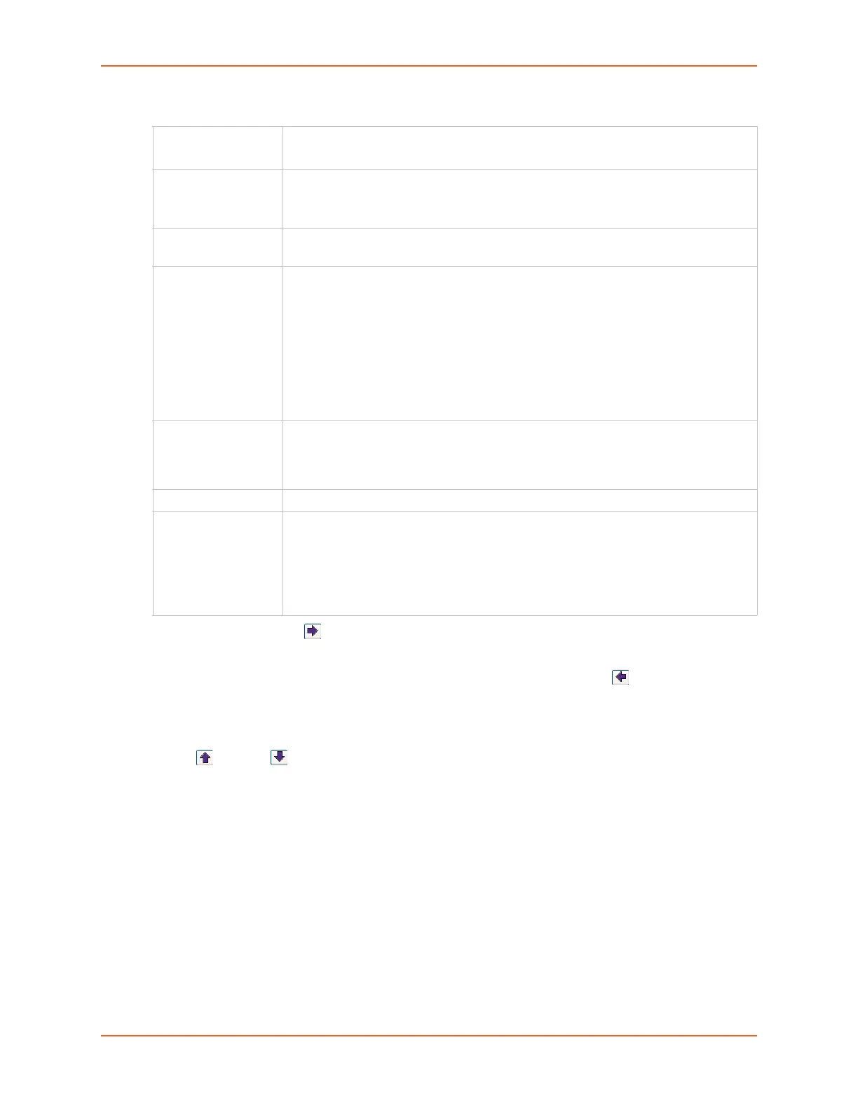
IP Address(es) Specify a single IP address to act as a filter.
Example:
172.19.220.64 – this specific IP address only
Subnet Mask Specify a subnet mask to act determine how much of the address should apply to
the filter.
Example:
255.255.255.255 to specify the whole address should apply.
Protocol From the drop-down list, select the type of protocol through which the filter will
operate. The default setting is All.
Port Range Enter a range of destination TCP or UDP port numbers to be tested. An entry is
required for TCP, TCP New, TCP Established, and UDP, and is not allowed for
other protocols. Separate multiple ports with commas. Separate ranges of ports by
colons.
Examples:
22 – filter on port 22 only
23,64,80 – filter on ports 23, 64 and 80
23:64,80,143:150 – filter on ports 23 through 64, port 80 and ports 143 through
150
Action Select whether to Drop, Reject, or Allow communications for the specified IP
address, subnet mask, protocol, and port range. Drop ignores the packet with no
notification. Reject ignores the packet and sends back an error message. Allow
permits the packet through the filter.
Clear Click the Clear button to clear any Rule Parameter information set above.
Generate rule to
allow service
You may wish to “punch holes” in your filter set for a particular protocol or service.
For instance, if you have configured your NIS server and wish to create an opening
in your filter set, select the NIS option and click the Add Rule button. This entry
adds a new rule to your filter set using the NIS -configured IP address. Other
services and protocols added automatically generate the necessary rule to allow
their use.

Table of Contents

Other manuals for Lantronix SLC 8000

Related product manuals