EasyManua.ls Logo

NT-MDT Solver Next - Page 179

NT-MDT Solver Next
214 pages
Print Icon
To Next Page IconTo Next Page
To Next Page IconTo Next Page
To Previous Page IconTo Previous Page
To Previous Page IconTo Previous Page
Loading...
Chapter 8. Lithography
171
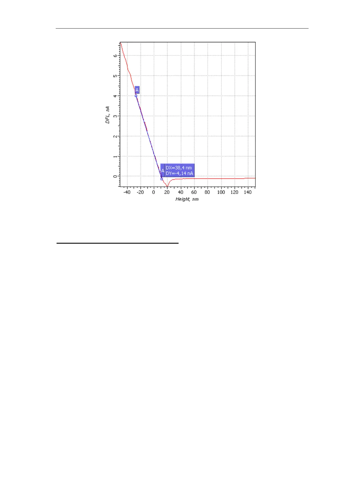
Fig. 8-8. Approach curve
Calculating the force applied to the probe
With the spectroscopy data, calculate the force F
Z
applied to the probe as:
kHeightF
Z
Δ=
,
where ΔHeight is deflection of the cantilever from its equilibrium, and k is rigidity of the
cantilever.
As an example, let's consider calculation of the force applied to the probe under scanning
in the Constant Force mode at
Set Point = 4 nA with k = 10 N/m.
First, place the pair marker on the acquired approach curve (see Fig. 8-8). The first marker
of the pair should be moved to the
Set Point level while the second one is positioned at the
DFL level immediately before the cantilever detaches the sample surface.
Value of the ΔHeight parameter is given by DX measured with the approach curve as
shown in Fig. 8-8.
In our example, with the parameter Set Point = 4 nA, constant pressing force is
maintained:
nNmNnmF
Z
384/104.38 == .
Now, find the SetPoint level corresponding to the desired interaction force.

Table of Contents