EasyManua.ls Logo

Protec 4400 - Page 52

Default Icon
88 pages
Print Icon
To Next Page IconTo Next Page
To Next Page IconTo Next Page
To Previous Page IconTo Previous Page
To Previous Page IconTo Previous Page
Loading...
93-310-10 Issue 4 Rev 5 Page 52 of 88 Copyright Protec Fire Detection PLC
6400 OPERATING MANUAL
Analogue scale
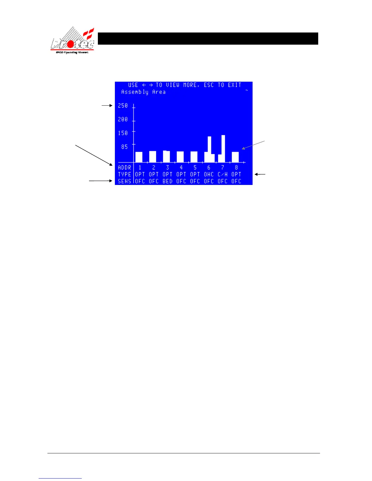
Once all the data has been received from the ‘Node’, the following ‘Graph’ is displayed
showing the first 8 devices on the selected Loop, in the following format :-
Use the keys to scroll through the next 8 devices on the selected Loop.
For details regarding the ‘Analogue data’ thresholds, refer to section 13
Exiting Option : To EXIT the ‘View analogue values’ option and return to ‘Test options’ menu press the
ESC’ key.
5000/4000 Series : 5000 and4000 series loops display a single column. The thresholds for 5000 and
4000 series devices are shown in section 13.3 and 13.4.
HEA : This is a 6000 series Heat device, column one is an average value (T
hist
), column two is a
current value (T
1
). Column three represents a rate of rise indication and only appears when
the heat channel is sensing a rising temperature. The fire decision algorithms look for this
rising temperature and column two being greater than column one by a set amount.
O/H : This is a 6000 series Optical Heat two channel device, column one is an average value
(T
hist
), column two is a current value (T
1
). Column three represents a rate of rise indication
and only appears when the heat channel is sensing a rising temperature. The fire decision
algorithms look for this rising temperature and/or column two being greater than column
one by a set amount.
OHC : This is a 6000 series Optical Heat CO three channel device, column one represents the
Optical value, column two the heat value and column three the CO value.
C/H : This is a 6000 series CO Heat two channel device, column one represents the CO value,
column two the heat value. Column three is not used.
6000 Series : 6000 Series devices not included in the above list show two columns, column one is an
average value (T
hist
), column two is a current value (T
1
). The fire decision algorithms look
for column two being greater than column one by a set amount.
The address number on the
selected loop
The device type
MCP = Manual call point
OPT = Optical smoke sensor
ION = Ionisation sensor
HEA = Heat sensor
O/H = Optical heat
Analogue data for
device no. 8
Device sensitivity
MED = Medium
OFC = Office mode
BED = Bedroom
HPO = High performance optical

Table of Contents

Related product manuals