EasyManua.ls Logo

Cessna 208B - Page 311

Cessna 208B
488 pages
Print Icon
To Next Page IconTo Next Page
To Next Page IconTo Next Page
To Previous Page IconTo Previous Page
To Previous Page IconTo Previous Page
Loading...
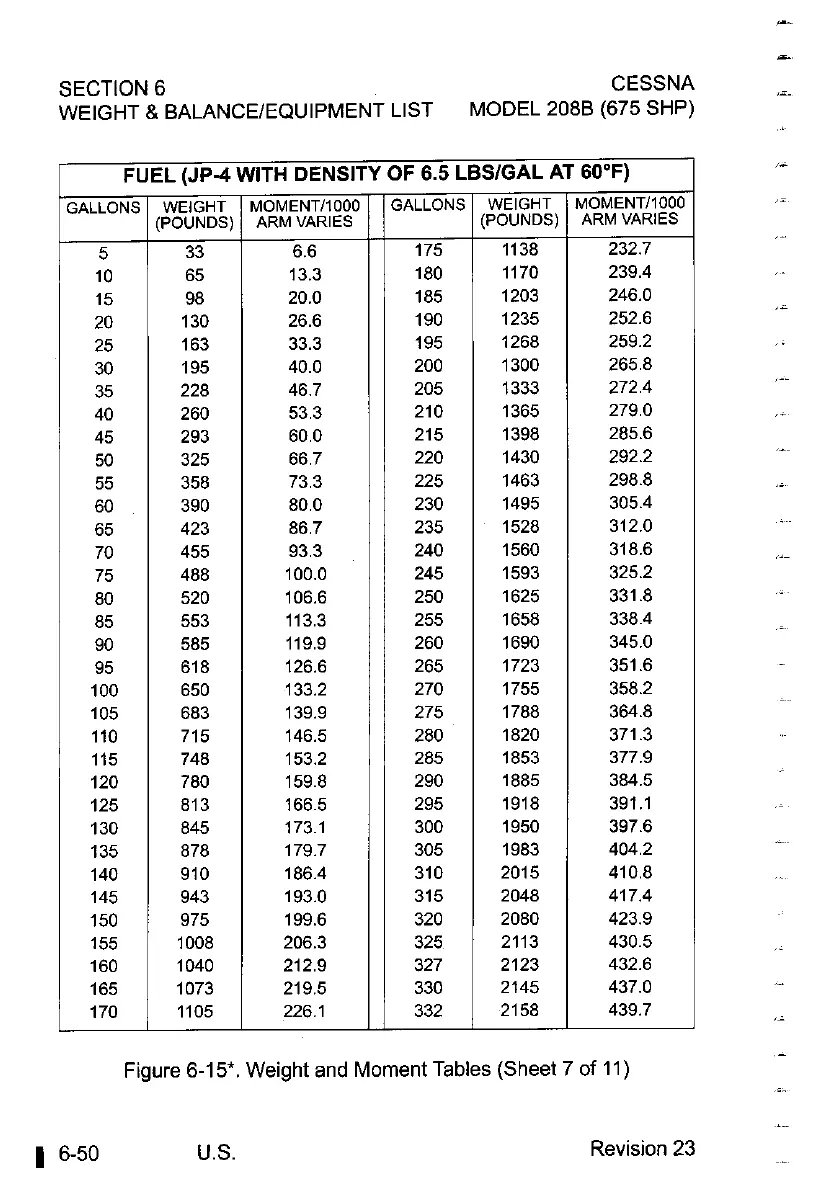
SECTION 6 CESSNA
WEIGHT
&
BALANCEIEQUIPMENT LIST MODEL
208B
(675 SHP)
1
FUEL
(JP-4
WITH DENSITY
OF
6.5
LBSlGAL AT
60°F)
GALLONS
175
180
185
190
195
200
205
210
215
220
225
230
235
240
245
250
255
260
265
270
275
280
285
290
295
300
305
310
315
320
325
327
330
332
WEIGHT
(POUNDS)
1138
1170
1203
1235
1268
1300
1333
1365
1398
1430
1463
1495
1528
1560
1593
1625
1658
1690
1723
1755
1788
1820
1853
1885
1918
1950
1983
2015
2048
2080
2113
2123
2145
2158
MOMENT/1000
ARM VARIES
232.7
239.4
246.0
252.6
259.2
265.8
272.4
279.0
285.6
292.2
298.8
305.4
312.0
318.6
325.2
331.8
338.4
345.0
351.6
358.2
364.8
371.3
377.9
384.5
391.1
397.6
404.2
410.8
417.4
423.9
430.5
432.6
437.0
439.7
Figure 6-15*. Weight and Moment Tables (Sheet 7
of
11)
1
6-50 U.S. Revision
23

Table of Contents

Related product manuals