EasyManua.ls Logo

Siemens SIMOTION D4x5-2 DP/PN

Siemens SIMOTION D4x5-2 DP/PN
446 pages
To Next Page IconTo Next Page
To Next Page IconTo Next Page
To Previous Page IconTo Previous Page
To Previous Page IconTo Previous Page
Loading...
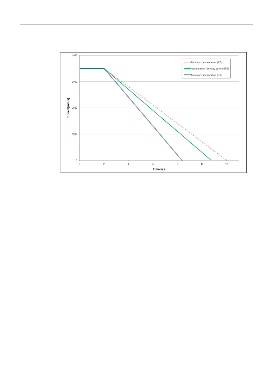
Compliance with the limit values always has priority over compensation of load sway.
Figure 6-11 Acceleration and deceleration behavior of the sway control system
6.9 Immersion point
You can choose between an internal and an external immersion point via the
IMPNT_EXT_ACTIVE (STW1_PLC_Common) control bit.
The immersion point is only active for an STS crane (parameter P102=1).
6.9.1 Internal immersion point
During manual travel on the waterside in manual (MAN) and positioning (POS) modes, the
lowest hoisting height (immersion point) is stored at which the trolley is operated with a settable
minimum velocity (see parameter P46) (see figure below: "Setting the immersion point").
Above this height, it can be assumed that no superstructures, such as cell guides, frames for
container fastenings, etc., are present.
Below this height (immersion point), travel in semi-automatic mode (SAM) is only possible with
the hoist in the upward direction, because it is assumed that the spreader is located in the cell
guides or between two container stacks. When the immersion point is reached, the trolley starts.
The immersion point is calculated on the basis of the spreader constellation and the locking
state. For further information, refer to Chapter Locking state of the spreader as a function of the
spreader constellation (Page 178).
Sway Control function description
6.9 Immersion point
SC integrated STS, GSU
166 Operating Instructions, 07/2019, A5E48271265B AA

Table of Contents