EasyManua.ls Logo

Siemens SIMOTION D4x5-2 DP/PN

Siemens SIMOTION D4x5-2 DP/PN
446 pages
To Next Page IconTo Next Page
To Next Page IconTo Next Page
To Previous Page IconTo Previous Page
To Previous Page IconTo Previous Page
Loading...
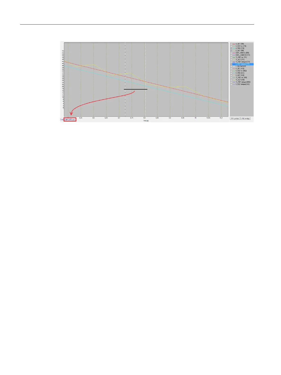
Blue V_POS
Yel‐
low
V_ACT
Red V_REF_delayed
Figure 9-15 Measuring the trolley delay time; second trace
After you have entered the calculated delay time in parameter P153, the values V_ACT and
V_REF_delayed are approximately congruent. In other words, the setting is correct and the
level of overshoot should be minimal. Any minor deviations are attributable to fluctuations
caused by the measuring technique.
Measuring the delay times for P154 (hoist)
To calculate the delay times for the hoist, use the same calculation method described above for
the trolley.
9.4.3 Commissioning positioning mode (POS)
9.4.3.1 Selecting external and internal targets
You can use two different methods to specify targets in the POS and SAM modes:
Externally via the crane control system
Requirement: The USE_EXTERN_TARGETS control bit is set.
Internally with the target generator via the sway control system
Requirement: The USE_EXTERN_TARGETS control bit is reset.
Displaying external and internal targets in SIMOCRANE CeCOMM
External and internal targets are displayed in different ways in the SIMOCRANE CeCOMM
diagnostic program.
The targets are displayed in the "PLC-Interface 1 [2]" display screen.
Commissioning AddOn Software
9.4 Sway control commissioning
SC integrated STS, GSU
342 Operating Instructions, 07/2019, A5E48271265B AA

Table of Contents