EasyManua.ls Logo

Siemens SIMOTION D4x5-2 DP/PN

Siemens SIMOTION D4x5-2 DP/PN
446 pages
To Next Page IconTo Next Page
To Next Page IconTo Next Page
To Previous Page IconTo Previous Page
To Previous Page IconTo Previous Page
Loading...
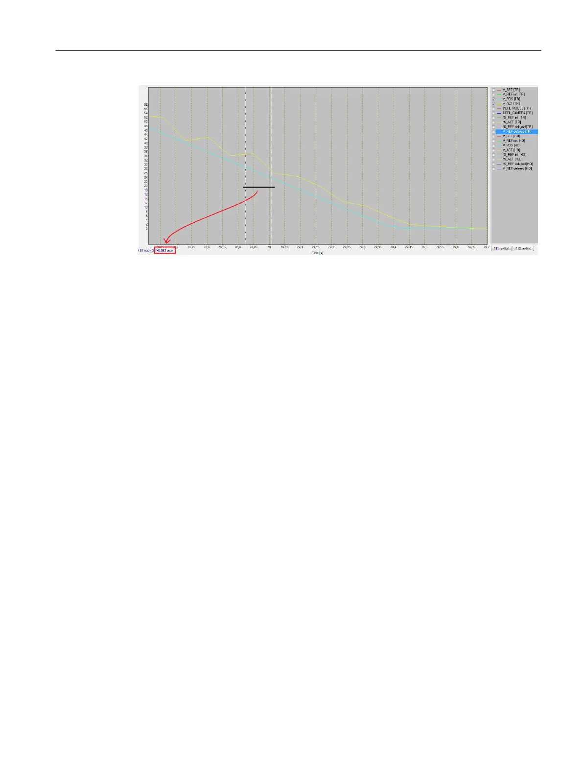
Blue V_POS
Yellow V_ACT
Parameter P153 is still set to zero and the lines for V_POS and V_REF_delayed are therefore congruent.
For this reason, V_REF_delayed is not visible in the chart.
Figure 9-14 Measuring the trolley delay time; first trace
Procedure:
1. Calculate the delay time between V_POS and V_ACT by measuring the average distance
between the two lines.
Use the ruler function to do this.
The delay time in the example (see figure above) is 83 ms.
2. Enter this value in parameter P153.
Since V_ACT is a measured value, it will not track the output velocity exactly. These
deviations must be taken into account.
Second trace for verification
A second trace is taken after parameter P153 has been set to the measured value.
(in this example, P153 = 83 ms)
Commissioning AddOn Software
9.4 Sway control commissioning
SC integrated STS, GSU
Operating Instructions, 07/2019, A5E48271265B AA 341

Table of Contents