EasyManua.ls Logo

Siemens SIMOTION D4x5-2 DP/PN

Siemens SIMOTION D4x5-2 DP/PN
446 pages
To Next Page IconTo Next Page
To Next Page IconTo Next Page
To Previous Page IconTo Previous Page
To Previous Page IconTo Previous Page
Loading...
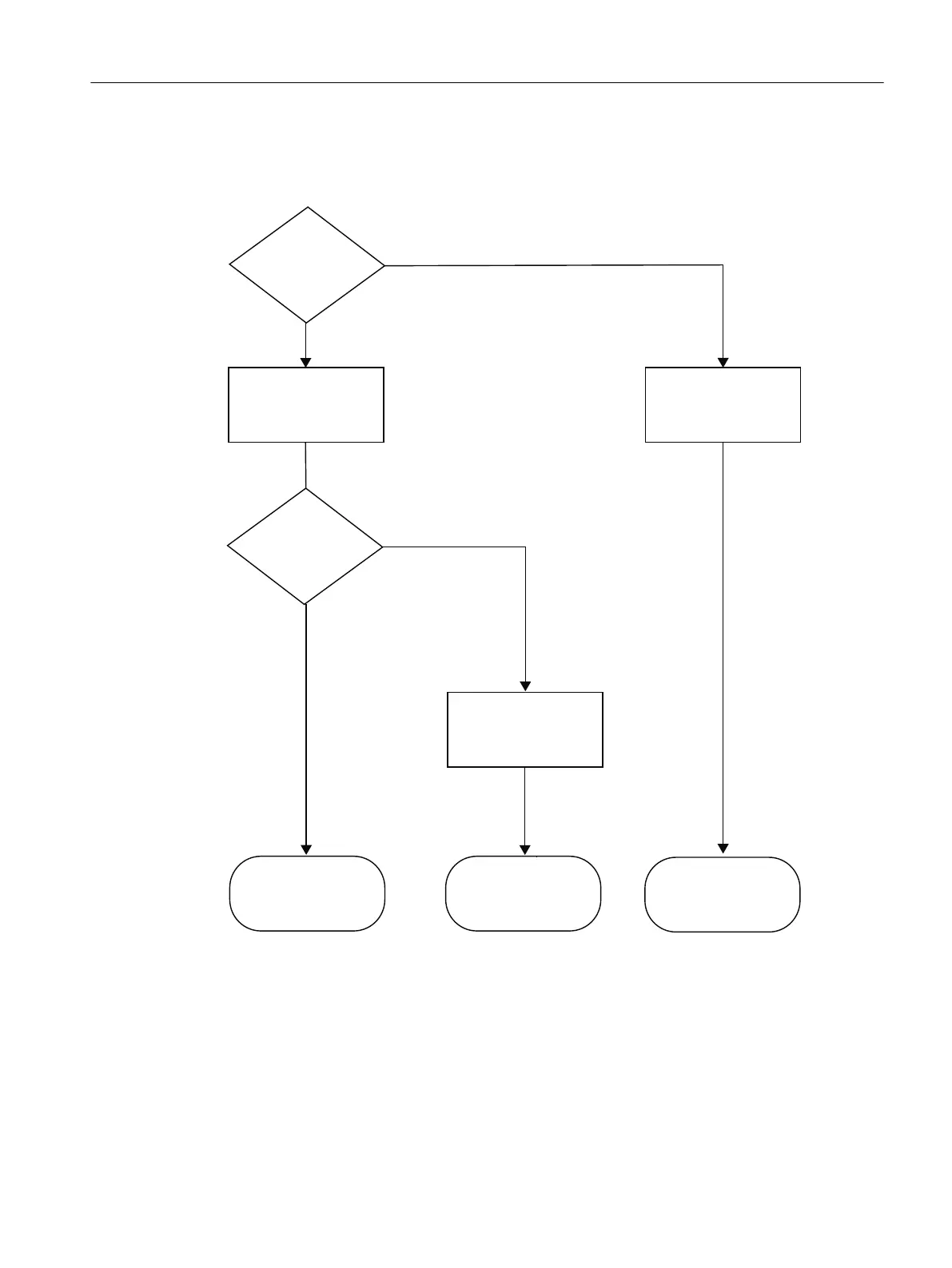
Possible control in applications with a bay scanner
The following figure is a suggestion for control when using a bay scanner.
8VLQJRIWKHYDOXHVIURP
WKHODVHUVFDQQHU
2Q'HOD\PV
0RQLWRULQJ
ODVHUVFDQQHU(
8VLQJLQWHUQDOO\OHDUQHG
YDULDEOHEORFNHGUHJLRQV
1R
<HV
1R
<HV
'HOHWH+HLJKW3URILOH'HOHWH+HLJKW3URILOH
$
%&
%$<6&$11(5
ุ+]

%$<6&$11(5B
9$/,' 

&2817B
*1) If a bay scanner is present, the BAYSCANNER_VALID bit is set.
*2) Whether or not the bay scanner is error-free is acquired in the value COUNT_BAYSCANNER.
A Error-free operation with bay scanner
The VALUE_BAYSCANNER values are used by the bay scanner to determine the height profile.
Sway Control function description
6.14 Bay scanner
SC integrated STS, GSU
Operating Instructions, 07/2019, A5E48271265B AA 205

Table of Contents