EasyManua.ls Logo

Matrix Vision mvBlueFOX3 - Using VLC Media Player

Matrix Vision mvBlueFOX3
365 pages
Print Icon
To Next Page IconTo Next Page
To Next Page IconTo Next Page
To Previous Page IconTo Previous Page
To Previous Page IconTo Previous Page
Loading...
184 CONTENTS
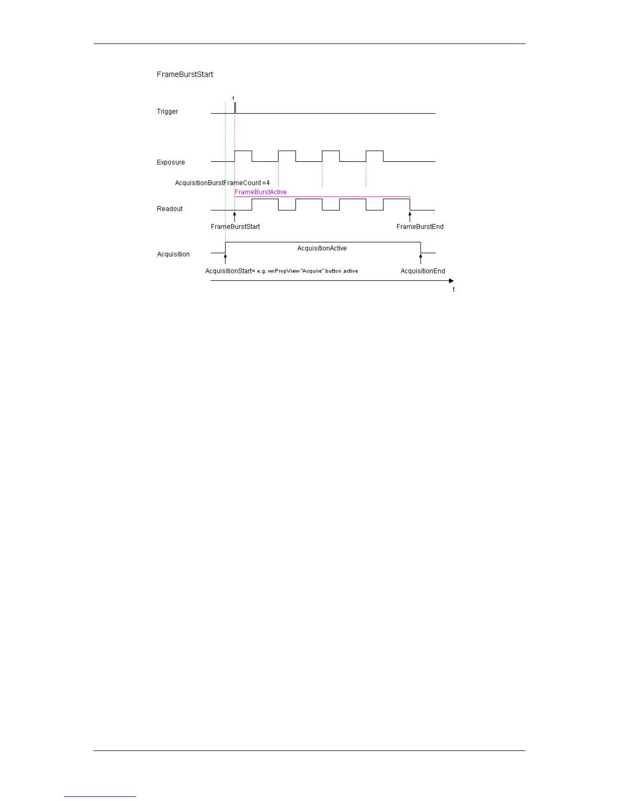
Figure 6: Principle of FrameBurstStart
20.2.7 Using VLC Media Player
With the DirectShow Interface (p. 133) MATRIX VISION devices become a (acquisition) video device for the VLC
Media Player.
MATRIX VISION GmbH

Table of Contents