EasyManua.ls Logo

Medrad Intego - Page 112

Medrad Intego
142 pages
Print Icon
To Next Page IconTo Next Page
To Next Page IconTo Next Page
To Previous Page IconTo Previous Page
To Previous Page IconTo Previous Page
Loading...
Medrad™ Intego™
PET Infusion System
102
Nominal Value Notes
Dose Activity
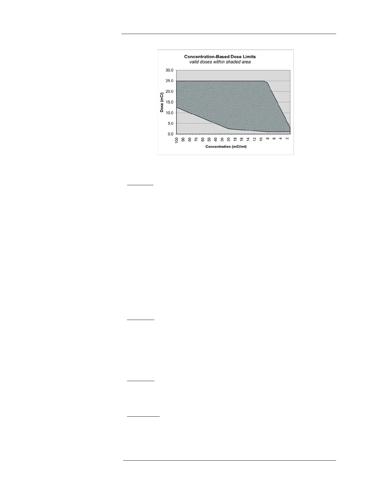
Maximum dose activity 925 MBq (25 mCi) Maximum Dose Activity is
reduced for RP concentrations
308 MBq/ml (8.3 mCi/ml). See
Concentration-Based Dose limits
graph.
Minimum dose activity 37 MBq (1 mCi) Minimum Dose Activity is
increased for RP concentrations
296 MBq/ml (8 mCi/ml). See
Concentration-Based Dose limits
graph.
Dose activity accuracy ± 2% Exclusive of Dose Calibrator
calibration factor. See note
below.
Half-life (
18
F)
109.74 min. Value used for all decay
calculations.
Dose Volume
Maximum RP dose volume 3.0 ml ---
Minimum RP dose volume 0.125 ml ---
Minimum dose fluid volume 35 ml Includes RP and saline flush.
Additional Flush volume is added
to this value. See note below.
Test Injection
Optional and user configurable.
Minimum saline volume 5 ml ---
Maximum saline volume 30 ml ---
Additional Flush
Optional and user configurable.
Minimum saline volume 0 ml ---
Maximum saline volume 30 ml ---

Table of Contents

Related product manuals