EasyManua.ls Logo

R&S NRP2 - Calibration

R&S NRP2
437 pages
Print Icon
To Next Page IconTo Next Page
To Next Page IconTo Next Page
To Previous Page IconTo Previous Page
To Previous Page IconTo Previous Page
Loading...
Remote Control - Commands
R&S
®
NRP2
234User Manual 1173.9157.02 ─ 03
Power
CALC:STAT:MARK:HOR:DATA?
CALC:STAT:MARK:VERT:POS:Y
Density/Distribution
CALC:STAT:MARK:HOR:POS:X:POW
CALC:STAT:MARK:VERT:DATA:POW?
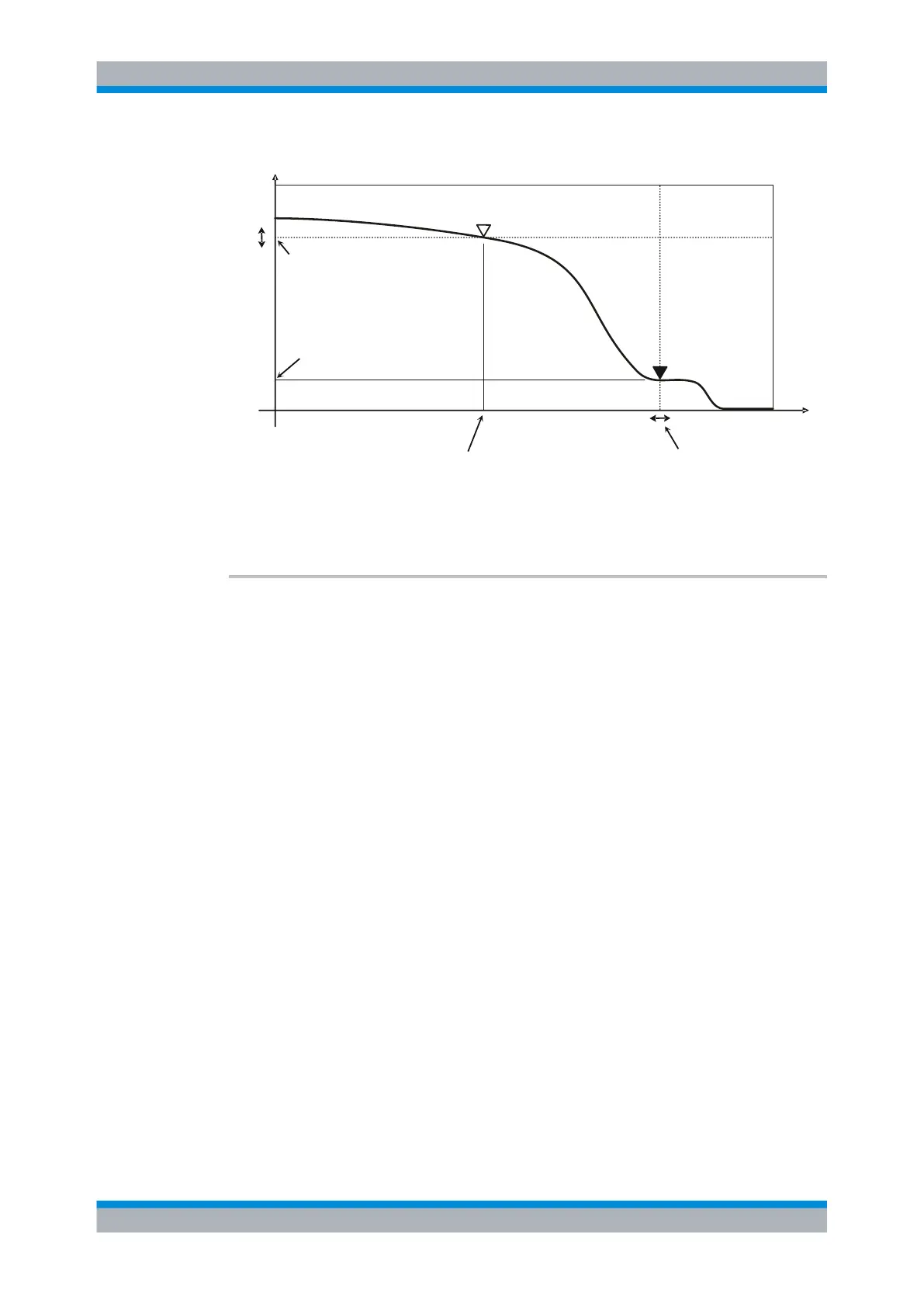
Fig. 6-7: Meaning of the marker commands for the Statistics mode
Usage: Query only
CALCulate<[1]..4>:STATistics:POWer:AVG:DATA?
Returns the average value of the power in the time window of a statistics measurement.
The time window is defined with the sensor commands SENS:STAT:TIME,
SENS:STAT:OFFS, SENS:STAT:MID:TIME and SENS:STAT:MID:OFFS:TIME.
Units: DBM | W | DBUV
Usage:
Query only
6.6 CALibration
Suffix [1]..4 denotes the four sensors. Calibration can be performed for only one of
the sensors using header CALibration<[1]..4>:... or for all sensors using header
CALibration:ALL:....
CALibration<[1]..4>:DATA...............................................................................................235
CALibration<[1]..4>:ZERO:AUTO.....................................................................................235
CALibration:ALL:ZERO:AUTO.........................................................................................235
CALibration<[1]..4>:ECONtrol:STATe...............................................................................236
CALibration<[1]..4>:RCALibration:STATe.........................................................................236
CALibration<[1]..4>:RCFactor..........................................................................................236
CALibration<[1]..4>:TEST?.............................................................................................236
CALibration<[1]..4>:TEST:DEViation?..............................................................................236
CALibration<[1]..4>:TEST:REVerence?............................................................................236
CALibration<[1]..4>:ZERO:FAST:AUTO...........................................................................236
CALibration:ALL:ZERO:FAST:AUTO................................................................................236
CALibration

Table of Contents